2
svar
168
visningar
martinmaskin2 behöver inte mer hjälp
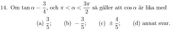
MAFY 2013 Uppgift 14

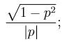
Jag vet att:

Är likamed tangens alfa. p är likamed cosinus alfa. Sedan löser jag ekvationen:
Då svarade jag (c) men uppenbarligen är det fel, då började jag tänka på kvadranterna och insåg cosinus måste vara negativt i det intervallet och därför måste p = 4/5 därmed blir svaret (d), tänker jag rätt?
vi har en 3,4,5 triangel men tan(x) är positiv i 3dje kvadrant eftersom sin(x) och cos(x) båda är negativa, det enda valet är B eller D men cos(x) (given från tan(x)) get att cosinus måste vara -4/5 så är svaret alltså d.
ja, jag var lite snabb i slutet, menade p = -4/5, tackar för snabbt svar!