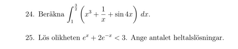
Mafy 2013 uppgift 25
Hej!
Kan man resonera med gränsvärde på den uppgiften? Tänker för negativa tal då x går mot oändligheten kommer gränsvärde för ex vara 0 och för 2e-x blir det att dess gränsvärde blir oändligheten då x går mot negativt oändlighet , Så 0+oändligheten går ej och kan ej vara mindre än 3. I andra fallet för positiva x så kommer 2e-x ha gränsvärde 0 då x går mot positiv oändlighet medan ex kommer bli oändligt stort. Alltså finns det inga heltallösningar här.

Nej, hur många heltalslösningar får olikheten med ditt resonemang?
D4NIEL skrev:Nej, hur många heltalslösningar får olikheten med ditt resonemang?
0 ? Du skrev <4 det ska väl vara <3 enligt uppgiften. Varför funkar ej mitt resonemang?
Det argumentet fungerar för stora värden på x (positiva och negativa), men inte för värden nära noll. En möjlig lösning är:
Inga heltalslösningar finns. :)
Smutstvätt skrev:Det argumentet fungerar för stora värden på x (positiva och negativa), men inte för värden nära noll. En möjlig lösning är:
Inga heltalslösningar finns. :)
Vilka värden tänker du på som är nära noll som det ej funkar för? Hänger ej med på sista raden där du skrev 0<x<ln(2)<1? Ska det ej vara 0<x<ln(2)?
Resonemanget att vi får 0 + oändlighet håller inte riktigt för små värden på x, eftersom både och då är ganska små värden, vars summa mycket väl skulle kunna bli mindre än tre. I detta fall finns inga sådana värden, men det är alltid viktigt att kontrollera noggrant.
Hänger ej med på sista raden där du skrev 0<x<ln(2)<1? Ska det ej vara 0<x<ln(2)?
Jo, egentligen. Att jag lade till "<1" var bara för att förtydliga att alla lösningar till olikheten ligger inom intervallet (0,1), så det finns inga heltalslösningar. Ursäkta otydligheten. :)
destiny99 skrev:D4NIEL skrev:Nej, hur många heltalslösningar får olikheten med ditt resonemang?
0 ? Du skrev <4 det ska väl vara <3 enligt uppgiften. Varför funkar ej mitt resonemang?
Jag ville få dig att inse att det finns heltalslösningar för t.ex. , men att du med din metod inte kommer notera dem eftersom du bara intresserar dig för väldigt extrema värden på
D4NIEL skrev:destiny99 skrev:D4NIEL skrev:Nej, hur många heltalslösningar får olikheten med ditt resonemang?
0 ? Du skrev <4 det ska väl vara <3 enligt uppgiften. Varför funkar ej mitt resonemang?
Jag ville få dig att inse att det finns heltalslösningar för t.ex. , men att du med din metod inte kommer notera dem eftersom du bara intresserar dig för väldigt extrema värden på
Okej jag är med på det.
Smutstvätt skrev:Resonemanget att vi får 0 + oändlighet håller inte riktigt för små värden på x, eftersom både och då är ganska små värden, vars summa mycket väl skulle kunna bli mindre än tre. I detta fall finns inga sådana värden, men det är alltid viktigt att kontrollera noggrant.
Hänger ej med på sista raden där du skrev 0<x<ln(2)<1? Ska det ej vara 0<x<ln(2)?
Jo, egentligen. Att jag lade till "<1" var bara för att förtydliga att alla lösningar till olikheten ligger inom intervallet (0,1), så det finns inga heltalslösningar. Ursäkta otydligheten. :)
Jaha okej,men resonemanget funkar alltså för stora värden på x alltså? Ok men jag är ej med på varför du ens lägger till en etta där? Räcker det ej med att visa 0<x<ln(2)? Jag tänkte hur som helst såhär. Tror du mitt sätt är giltig också? Fast jag resonerade som så att det kan finnas lösningar mellan 1 och 2 för värden på t ,men de är ej heltal. 
Ja, för värden som ligger långt ifrån noll fungerar ditt resonemang. :)