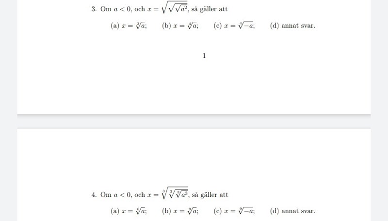
Hej! Jag förstår verkligen ej varför alternativ c) ej är rätt svar i uppgift 4 när i uppgift 3 så fick jag fjärde roten ur -4. Vi vet att något negativt upphöjt till en ojämn tal blir negativt och en jämnt tal positivt. Men vad är det jag missar i denna fråga? Känns som att det borde vara alternativ b) i 3an och i 4an bordet det vara c). Hur ska man förstå såna uppgifter?
Här skulle jag nog titta på vilket tecken respektive har. Om kommer att vara positivt. Vi kan med andra ord byta ut mot , och senare kan vi förenkla potenserna till – |a| blir positivt, och eftersom a är negativt, måste vi sätta ett minustecken framför a för att få ett positivt uttryck.
Å andra sidan, när vi har , då blir a fortfarande negativt, och efter förenkling av alla potenser får vi .
Kort sagt är det precis som du skriver – vi måste hålla koll på jämna och udda exponenter när vi förenklar, men det kluriga är att vi har ett negativt värde på a, vilket vi ibland måste kompensera för. :)
Smutstvätt skrev:Här skulle jag nog titta på vilket tecken respektive har. Om kommer att vara positivt. Vi kan med andra ord byta ut mot , och senare kan vi förenkla potenserna till – |a| blir positivt, och eftersom a är negativt, måste vi sätta ett minustecken framför a för att få ett positivt uttryck.
Å andra sidan, när vi har , då blir a fortfarande negativt, och efter förenkling av alla potenser får vi .
Kort sagt är det precis som du skriver – vi måste hålla koll på jämna och udda exponenter när vi förenklar, men det kluriga är att vi har ett negativt värde på a, vilket vi ibland måste kompensera för. :)
Hm jag är fortfarande ej med på din förklaring här.. Ber om ursäkt!
Ja jag tittade också på tecken som a^2 har när a<0 och då får vi att a är positivt och om a^3 är negativt då blir a negativt. Men hur ska jag avgöra rätt svar i tex uppgift 3? De valde alternativ c) vi har rot uttryck också. Att förenkla rot uttryck kan man göra och då får man ett positivt a fjärde roten ur i det här fallet, men nej alternativ c) är det rätta och ej b). Och i uppgift 4 har man samma resonemang och tänker ja a<0 och a^3 är negativt då och då får vi nionde roten ur (-a) vilket är något av alternativen.
Kan du bara ge mig ett exempel? För om vi har a =-2 och tar absolutbelopp så får vi ett positivt tal? Det här med att sätta ett minus, gäller det alltid i såna uppgifter eller? För att om man bara utgick från att a är negativt så skulle man få något positivt dvs fjärde roten ur 4. Men sätter man minus tecken framför a^2, ja då blir det negativt.
Hm jag är fortfarande ej med på din förklaring här.. Ber om ursäkt!
Du har inget att be om ursäkt för! Det låter bra med ett exempel. Om vi kör på -2 får vi att:
3) , så för att uttrycka detta med a (som är -2), måste vi lägga dit ett extra minustecken, så att vi får .
Medan i uppgift 4 får vi, med samma exempel, att:
4)
Skillnaden är hur vi hanterar exponenten (2 respektive 3). I (3) försvinner minustecknet, eftersom vi kvadrerar, medan minustecknet i (4) blir kvar, eftersom vi har en kub (dvs. udda exponent).
Och i uppgift 4 har man samma resonemang och tänker ja a<0 och a^3 är negativt då och då får vi nionde roten ur (-a) vilket är något av alternativen.
Det motsvarar alternativ (c)? Men vi har också alternativ (d), annat svar, som vi kan välja.
Smutstvätt skrev:Hm jag är fortfarande ej med på din förklaring här.. Ber om ursäkt!
Du har inget att be om ursäkt för! Det låter bra med ett exempel. Om vi kör på -2 får vi att:
3) , så för att uttrycka detta med a (som är -2), måste vi lägga dit ett extra minustecken, så att vi får .
Medan i uppgift 4 får vi, med samma exempel, att:
4)
Skillnaden är hur vi hanterar exponenten (2 respektive 3). I (3) försvinner minustecknet, eftersom vi kvadrerar, medan minustecknet i (4) blir kvar, eftersom vi har en kub (dvs. udda exponent).
Och i uppgift 4 har man samma resonemang och tänker ja a<0 och a^3 är negativt då och då får vi nionde roten ur (-a) vilket är något av alternativen.
Det motsvarar alternativ (c)? Men vi har också alternativ (d), annat svar, som vi kan välja.
I båda uppgiften är rätt svar c) och b) om vi tar d) så är det fel i båda alternativen. Och jag valde rätt på uppgift 3 men ej uppgift 4 och jag vill gärna förstå varför jag valde fel. Annars har jag ej lärt mig av mina misstag när liknande uppgift kommer tillbaka. Jag förlorar bara poäng
Jag tycker man borde få poäng för att man väljer nionde roten ur -9
Ursäkta det sena svaret – denna tråd försvann i min inkorg. :(
Det som är viktigt här är att vi är noga med vad som händer med våra minustecken. Det kan vara lättare att dela upp negativa tal i två faktorer – absolutbeloppet av talet, och -1. Vi kan ta exemplet . I uppgift 3 får vi att:
Vi har nu en positiv bas, men vi utgick ju ifrån att a var negativt! Om vår bas ska bli , måste vi skriva , dvs. som bas. Därför blir svaret alternativ (c), .
Om vi nu provar samma exempel i uppgift 4 – fortfarande , får vi:
Här försvinner inte faktorn (-1), eftersom vi har en udda exponent. När vi då förenklar potenserna, får vi . Vi har alltså vårt minustecken kvar i basen, eftersom det inte kvadrerats bort. Eftersom vi satte exemplet ‚ kan vi skriva som .
Det gäller att vara noga med minustecknet och när det försvinner och inte. :)
Smutstvätt skrev:Ursäkta det sena svaret – denna tråd försvann i min inkorg. :(
Det som är viktigt här är att vi är noga med vad som händer med våra minustecken. Det kan vara lättare att dela upp negativa tal i två faktorer – absolutbeloppet av talet, och -1. Vi kan ta exemplet . I uppgift 3 får vi att:
Vi har nu en positiv bas, men vi utgick ju ifrån att a var negativt! Om vår bas ska bli , måste vi skriva , dvs. som bas. Därför blir svaret alternativ (c), .
Om vi nu provar samma exempel i uppgift 4 – fortfarande , får vi:
Här försvinner inte faktorn (-1), eftersom vi har en udda exponent. När vi då förenklar potenserna, får vi . Vi har alltså vårt minustecken kvar i basen, eftersom det inte kvadrerats bort. Eftersom vi satte exemplet ‚ kan vi skriva som .
Det gäller att vara noga med minustecknet och när det försvinner och inte. :)
Det låter som att i uppgift 3 så vill man göra 3an positivt för att likna positiva basen vi fått men då blir det - a =-(-3) dvs - a=3
Ja, vi måste anpassa oss till att det försvinner ett minustecken när vi kvadrerar.
Om du får denna typ av uppgifter på provet, prova gärna med något eller några värden på a, så brukar det gå lättare. :)
Smutstvätt skrev:Ja, vi måste anpassa oss till att det försvinner ett minustecken när vi kvadrerar.
Om du får denna typ av uppgifter på provet, prova gärna med något eller några värden på a, så brukar det gå lättare. :)
Ja precis det gör det ju om vi nu bestämde att a ska vara negativt enligt uppgiften. I 4 frågan är ju a negativt vid udda exponent, men i 3 frågan har vi en jämn exponent och då försvinner minustecken vid kvadrering och om vi ska få tillbaka det behöver vi lägga till en minus tecken
Japp! Det stämmer bra!
