2
svar
126
visningar
hanna_panna behöver inte mer hjälp
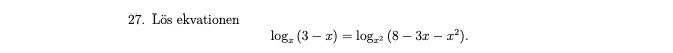
MAFY 2014 fråga 27

Hej! Löste denna och fick:
Undrar bara varför 1 inte är en reell lösning till ekvationen?
1-logaritmer funkar ju inte riktigt eftersom 1^y =1 för alla y. 1-logaritmen för 2 har ingen lösning. I varje fall ingen reell lösning.
Juste, så är det ju. Tack!