Mafy 2014 uppgift 16
Hej!
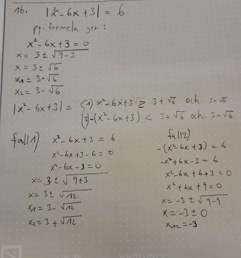
Det blir 4 eller två fall vi ska undersöka här. Men jag fick bara att det stämmer för endast två fall och då fick jag a) men det är fel.

Vad menar du med fall? De frågar efter antalet lösningar.
Laguna skrev:Vad menar du med fall? De frågar efter antalet lösningar.
Jag menar man kan dela upp ekvationen i fall. Precis de söker efter antal lösningar.
Titta på ett lite enklare fall. Antag att a > 0. Om vi har ekvationen |x| = a så gäller det att x = a eller x = -a. Du kan tillämpa denna observation för att lösa problemet.
PATENTERAMERA skrev:Titta på ett lite enklare fall. Antag att a > 0. Om vi har ekvationen |x| = a så gäller det att x = a eller x = -a. Du kan tillämpa denna observation för att lösa problemet.
Jaha okej,men varför skriver man på det sättet dvs |x|=a och |x|=-a ? Jag är med på att |x|= x>=0 eller -x<0. Var kan man läsa om att man kan göra på det sättet? Är det närmare att lösa på det sättet som du skrev än mitt sätt?
Använd metoden.
destiny99 skrev:PATENTERAMERA skrev:Titta på ett lite enklare fall. Antag att a > 0. Om vi har ekvationen |x| = a så gäller det att x = a eller x = -a. Du kan tillämpa denna observation för att lösa problemet.
Jaha okej,men varför skriver man på det sättet dvs |x|=a och |x|=-a ? Jag är med på att |x|= x>=0 eller -x<0. Var kan man läsa om att man kan göra på det sättet? Är det närmare att lösa på det sättet som du skrev än mitt sätt?
Nja, jag gav dig ekvationen |x| = a. Är du med på att den ekvationen har lösningarna x = a och x = -a.
Du har ju löst ekvationen. Hur många lösningar fick du?
Laguna skrev:Du har ju löst ekvationen. Hur många lösningar fick du?
Ja, det har du rätt i. Jag blev så förvirrad av vad som skrevs innan. Ja då är det väl bara räkna lösningarna.
PATENTERAMERA skrev:destiny99 skrev:PATENTERAMERA skrev:Titta på ett lite enklare fall. Antag att a > 0. Om vi har ekvationen |x| = a så gäller det att x = a eller x = -a. Du kan tillämpa denna observation för att lösa problemet.
Jaha okej,men varför skriver man på det sättet dvs |x|=a och |x|=-a ? Jag är med på att |x|= x>=0 eller -x<0. Var kan man läsa om att man kan göra på det sättet? Är det närmare att lösa på det sättet som du skrev än mitt sätt?
Nja, jag gav dig ekvationen |x| = a. Är du med på att den ekvationen har lösningarna x = a och x = -a.
Jag är ej med på x=-a ? Jag fick 3 lösningar i alla fall med din metod. Ser att 3an kommer ge mig 6 =6. Men de andra 2 vet jag ej hur jag ska veta vad de är utan räknare för att pröva om båda leden stämmer. 
Laguna skrev:Du har ju löst ekvationen. Hur många lösningar fick du?
Fick 3 st lösningar. x3=3 fungerar. Men de andra är jag osäker över hur mycket de är utan räknare. Uppskattade roten ur 12 till 3,4 vilket ger mig ungefär 6,4 och -0,4 för x1 och x2. Dock blir det knas när jag stoppar in dem båda i ursprungliga ekvationen.
Du kan lita på att de faktiskt är lösningar. Varför blir det knas när du provar dem?
Laguna skrev:Du kan lita på att de faktiskt är lösningar. Varför blir det knas när du provar dem?
Hm okej ja jag får nog prova att sätta in de exakta värdena som jag fick ut med pq formeln istället för approximativa värden.