3
svar
175
visningar
Annanspizza behöver inte mer hjälp
MaFy 2015
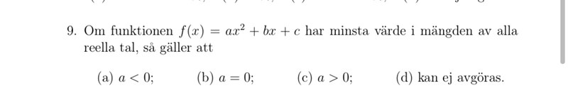
Förstår inte riktigt uppgiften.
Deriverar f(x) och sätter den till 0.
Hur går man vidare?

A måste vara större än 0 för att funktionen ska ha ett minsta värde. (Kurvan är en glad mun)
antag att b och c är 0
Då är y =x^2 med minsta värde 0, alla andra värden på x ger ett större y.
Annanspizza, det står i Pluggakutens regler att dina trådar skall ha så olika rubriker att det är lätt att se skillnad mellan dem - det underlättar för oss som svarar. Nu har du två trådar som heter MaFy2015 respektive MaFy2015. De rubrikerna är alldeles för lika. /moderator