2
svar
125
visningar
Ludzz behöver inte mer hjälp
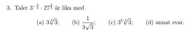
MAFY 2015 Fråga 3

Hur är det man går tillväga? ska man göra om 27 ?
Hade börjat med att göra om 27 på formen "3 upphöjt till någonting". Sen kan man använda potensreglerna för att addera potenserna.
Ja, gör om 27 så att du har samma bas överallt.