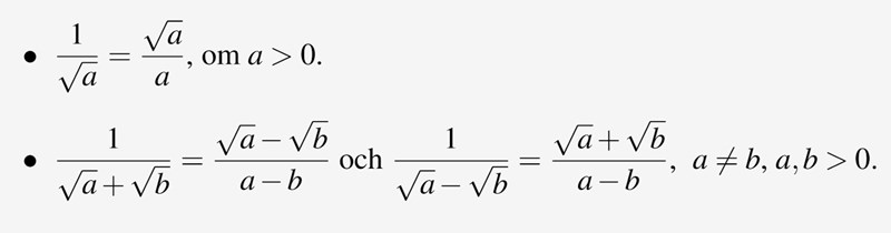
Så långt har jag kommit men sen vill jag Förenkla och har svårt att gå vidare
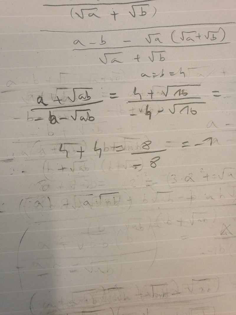
bryt ut -1 ur nämnaren
förläng därefter med b-sqrt(ab)
Blir det inte bara enklast med prövning (med tanke på hur lite tid man egentligen har)? Sätt exempelvis a=b=4 (tillåtet då den ska gälla för alla positiva a och b).
Christ.E skrev:Blir det inte bara enklast med prövning (med tanke på hur lite tid man egentligen har)? Sätt exempelvis a=b=4 (tillåtet då den ska gälla för alla positiva a och b).
Oh prövning är ju bäst. Det här tog ju en timme typ att komma fram nånstans... Om jag förstår dig rätt Chris så tänker du att a och b är 4? Vad händer om man väljer olika värden på a och b dvs positiva heltal, tex a=2 och b=1
Mahiya99 skrev:Christ.E skrev:Blir det inte bara enklast med prövning (med tanke på hur lite tid man egentligen har)? Sätt exempelvis a=b=4 (tillåtet då den ska gälla för alla positiva a och b).
Oh prövning är ju bäst. Det här tog ju en timme typ att komma fram nånstans... Om jag förstår dig rätt Chris så tänker du att a och b är 4? Vad händer om man väljer olika värden på a och b dvs positiva heltal, tex a=2 och b=1
A=b=4 gör att vi kan utesluta a, sedan skulle jag sätta något som a=1 och b=9 då det är lite otympligt att arbeta med roten ur 2; värdena ovan ger -1/3 som är vad b ger oss, vi kan nu även stryka d då formeln verkar gälla för flera fall.

Redigering:
Hade nog varit bättre att sätta a=4 för att få pröva andra siffror.
Christ.E skrev:Mahiya99 skrev:Christ.E skrev:Blir det inte bara enklast med prövning (med tanke på hur lite tid man egentligen har)? Sätt exempelvis a=b=4 (tillåtet då den ska gälla för alla positiva a och b).
Oh prövning är ju bäst. Det här tog ju en timme typ att komma fram nånstans... Om jag förstår dig rätt Chris så tänker du att a och b är 4? Vad händer om man väljer olika värden på a och b dvs positiva heltal, tex a=2 och b=1
A=b=4 gör att vi kan utesluta a, sedan skulle jag sätta något som a=1 och b=9 då det är lite otympligt att arbeta med roten ur 2; värdena ovan ger -1/3 som är vad b ger oss, vi kan nu även stryka c.
Redigering:
Hade nog varit bättre att sätta a=4 för att få pröva andra siffror.
Stort tack!
Ingen fara!
Christ.E skrev:Ingen fara!
En sak till när jag hittar på värden som a=b=4 så får jag detta slut resultat
jag hade valt alternativ c) eftersom min lösning gav det
Det är en fallgrop, det är därför det är bra att alltid pröva med flera olika siffror. Egentligen hade det varit bättre att direkt pröva med 4 och 9.
Christ.E skrev:Det är en fallgrop, det är därför det är bra att pröva med flera olika siffror. Egentligen hade det varit bättre att direkt pröva med 4 och 9.
Ja okej jag förstår. Men nu när jag tänker efter att lösa algebraiskt med bokstäver är nog närmast än att pröva med siffror (om man nu råkar ut för samma värde på a och b).
Ture skrev:bryt ut -1 ur nämnaren
förläng därefter med b-sqrt(ab)
I täljaren och nämnaren?
Det är egentligen bäst att försöka få fram ett av de givna uttrycken, i det här fallet var det lite svårt då jag gjorde provet på tid och märkte att jag redan lagt ner för mycket tid på uppgiften. Så när jag löste den använde jag bara prövning.
Mahiya99 skrev:Ture skrev:bryt ut -1 ur nämnaren
förläng därefter med b-sqrt(ab)
I täljaren och nämnaren?
I nämnaren, det verkar som om du kanske kan få fram uttrycket med bara några fler steg.
Christ.E skrev:Det är egentligen bäst att försöka få fram ett av de givna uttrycken, i det här fallet var det lite svårt då jag gjorde provet på tid och märkte att jag redan lagt ner för mycket tid på uppgiften. Så när jag löste den använde jag bara prövning.
Ja asså det är individuellt för alla. För mig är det bäst med algebran.
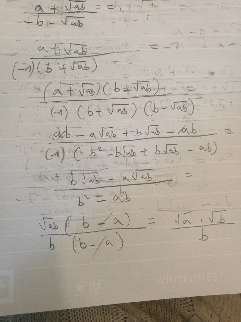
Jag får såhär när jag bryter ut - 1 och sen nämnde du förlängning. Vad ska förlängas med vadå? 
Ska jag multiplicera nämnaren med täljaren efter att ha brutit en minus etta?
Förläng med konjugatet:

Christ.E skrev:Förläng med konjugatet:
Konjugatet av vadå?
Perfekt! Nu tar du bara och sätter b=sqrt(b^2) (obs att b>0!), tillämpar rotlagar och så får du uttrycket. Dock verkar ett minustecken ha försvunnit någonstans.
Christ.E skrev:Perfekt! Nu tar du bara och sätter b=sqrt(b^2) (obs att b>0!), tillämpar rotlagar och så får du uttrycket. Dock verkar ett minustecken ha försvunnit någonstans.
Yes jag fixade det. Tack!! Jag delade upp bråket till roten ur a dividerad med - 1 och jobbade med roten ur b dividerad b och använde potens lagarna. Fick det b^-1/2 *(-1)*roten ur a
Ingen fara!


