6
svar
165
visningar
Elev01 behöver inte mer hjälp
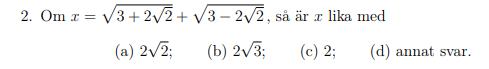
MaFy 2015 uppgift 2

Min lösning:
Men facit ger bara (a) .
Är min metod fel? ;=(
Du får visa vad "efter lite algebra" innebär. Ingen ekvationslösning behövs direkt.
Dr. G skrev:Du får visa vad "efter lite algebra" innebär. Ingen ekvationslösning behövs direkt.
så här
Kan HL vara ett negativt tal?
Smaragdalena skrev:Kan HL vara ett negativt tal?
Du har rätt! Röter kan inte vara negativ.
Du kan skriva om din rad 4 som
I rottecknet kan du t.ex använda konjugatregeln och förenkla det till 1.
Den positiva roten väljs.
Dr. G skrev:Du kan skriva om din rad 4 som
I rottecknet kan du t.ex använda konjugatregeln och förenkla det till 1.
Den positiva roten väljs.
stort tack!