2
svar
148
visningar
martinmaskin2 behöver inte mer hjälp
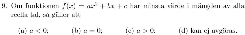
MAFY 2015 Uppgift 9

Dock är det möjligt att få ett oändligt litet värde om a > 0 för då kan lösningarna innehålla negativa tal. Tänker jag rätt?
Jo a ska vara positivt för att funktionen ska ha ett minsta värde.
Jämför med: Vad ska andraderivatan ha för tecken i ett lokalt minimum?
Ture skrev:Jo a ska vara positivt för att funktionen ska ha ett minsta värde.
Jämför med: Vad ska andraderivatan ha för tecken i ett lokalt minimum?
Andra derivatan av denna funktion blir ju 0. Vad menar du?