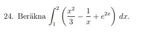
MAFY 2016 Uppg. 24
Hej!

Skulle behöva hjälp med att räkna ut denna integral.
Om jag inte tänkt helt snett så har jag kommit fram till :
F(x)=
men därefter tar det stopp.
filipsrbin skrev:Hej!
Skulle behöva hjälp med att räkna ut denna integral.
Om jag inte tänkt helt snett så har jag kommit fram till :
F(x)=
men därefter tar det stopp.
primitiva funktionen till x^2/3 är väl ej x^2/4?. om du bryter ut 1/3 och hittar primitiv funktion till x^2. Vad får du då?
Sätt in övre och nedre gräns i den primitiva funktionen, förenkla.
För svaret gör du
Mahiya99 skrev:filipsrbin skrev:Hej!
Skulle behöva hjälp med att räkna ut denna integral.
Om jag inte tänkt helt snett så har jag kommit fram till :
F(x)=
men därefter tar det stopp.
primitiva funktionen till x^2/3 är väl ej x^2/4?. om du bryter ut 1/3 och hittar primitiv funktion till x^2. Vad får du då?
Helvete vad dumt av mig haha. Tack! Såg även att någon nedan skrev svaret.
Elev01 skrev:För svaret gör du
Stort tack! Såg att jag råkade få fel primitiv funktion hehe

