MaFy 2016 uppgift 14
Hej!
Jag undrar varför mitt resonemang med mitt exempel för vinkeln v =7pi/2 nedan är sant för a) men ej för c) som tom är rätt svar?-1.jpg?width=800&upscale=false)
Hej
Varför väljer du just v = 7pi/2?
Den ligger inte i det intervall som efterfrågas.
Och kan du förklara hur du kommer fram till att a är rätt svar, dvs att cos(pi-v) > 0?
Det följer nämligen inte av att cos(-5pi/2) = -cos(7pi/2)
Yngve skrev:Hej
Varför väljer du just v = 7pi/2?
Den ligger inte i det intervall som efterfrågas.
Och kan du förklara hur du kommer fram till att a är rätt svar, dvs att cos(pi-v) > 0?
Det följer nämligen inte av att cos(-5pi/2) = -cos(7pi/2)
Jag tänkte bara att just den vinkeln ligger i det kvadranten. Jag hade svårt att komma på en vinkel som ligger mellan 3pi/2 och 2pi. Var ligger den vinkeln isåfall?
Jag tror att jag tänkte på cos(pi-v)=-cosv. För cos(-5pi/2)=cos(5pi/2) så värdet blir positivt.
Nej det var nog fel skrivet då. För jag syftade på cos(-5pi/2)=cos(7pi/2) båda värdena blir positivt ? Men i regeln är ju cos(pi-v)=-cos(v). Jag förstår ej varför det blir fel om jag skriver cos(pi-7pi/2)=-cos(7pi/2)?
destiny99 skrev:
Jag tänkte bara att just den vinkeln ligger i det kvadranten.
Det gör den inte. Det intervall som angivits är , inte
Jag hade svårt att komma på en vinkel som ligger mellan 3pi/2 och 2pi. Var ligger den vinkeln isåfall?
Den ligger i fjärde kvadranten. Koordinataxlarna ingår inte i kvadranterna.
Jag tror att jag tänkte på cos(pi-v)=-cosv. För cos(-5pi/2)=cos(5pi/2) så värdet blir positivt.
Nej, både och är lika med 0.
Nej det var nog fel skrivet då. För jag syftade på cos(-5pi/2)=cos(7pi/2) båda värdena blir positivt ?
Nej, de är lika med 0.
Men i regeln är ju cos(pi-v)=-cos(v). Jag förstår ej varför det blir fel om jag skriver cos(pi-7pi/2)=-cos(7pi/2)?
Felet är inte i formeln. Felet är att båda värdena är lika med 0. Inget av värdena är större än 0.
Yngve skrev:destiny99 skrev:Jag tänkte bara att just den vinkeln ligger i det kvadranten.
Det gör den inte. Det intervall som angivits är , inte
Jag hade svårt att komma på en vinkel som ligger mellan 3pi/2 och 2pi. Var ligger den vinkeln isåfall?
Den ligger i fjärde kvadranten. Koordinataxlarna ingår inte i kvadranterna.
Jag tror att jag tänkte på cos(pi-v)=-cosv. För cos(-5pi/2)=cos(5pi/2) så värdet blir positivt.
Nej, både och är lika med 0.
Nej det var nog fel skrivet då. För jag syftade på cos(-5pi/2)=cos(7pi/2) båda värdena blir positivt ?
Nej, de är lika med 0.
Men i regeln är ju cos(pi-v)=-cos(v). Jag förstår ej varför det blir fel om jag skriver cos(pi-7pi/2)=-cos(7pi/2)?
Felet är inte i formeln. Felet är att båda värdena är lika med 0. Inget av värdena är större än 0.
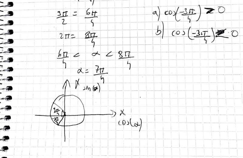
Jag tror ej jag hänger med riktigt på hur man ska tänka på den uppgiften. Du säger att båda leden är lika med 0. Vilka vinklar bör man ha valt?
ta en vinkel mitt i intervallet, dvs mitt i fjärde kvadranten
eftersom
och 2pi = 8pi/4 kan man välja vinkeln
Ture skrev:ta en vinkel mitt i intervallet, dvs mitt i fjärde kvadranten
eftersom
och 2pi = 8pi/4 kan man välja vinkeln
Okej smart! Då ser vi att a) cos(-3pi/4)>0 och b) cos(-3pi/4) <0
Ta för vana:
Rita i enhetscirkeln!
Vad menar du, med : "a) cos(-3pi/4)>0 och b) cos(-3pi/4) <0 " Bägge kan ju inte gälla samtidigt!
cos(-3pi/4) är mindre än 0 ! Eftersom -3pi/4 ligger i tredje kvadranten.
Ture skrev:Ta för vana:
Rita i enhetscirkeln!
Vad menar du, med : "a) cos(-3pi/4)>0 och b) cos(-3pi/4) <0 " Bägge kan ju inte gälla samtidigt!
cos(-3pi/4) är mindre än 0 ! Eftersom -3pi/4 ligger i tredje kvadranten.
Jag bara skrev vad det blir när man stoppar in 7pi/4 i alla 3 alternativen. Nästa steg är att fundera vilket alternativ som är rätt. Jag sa ingenting om att båda stämmer ännu.
Ok, då förstår jag,
Argumentet i din cosfunktion är mycket riktigt -3pi/4
Ture skrev:Ok, då förstår jag,
Argumentet i din cosfunktion är mycket riktigt -3pi/4
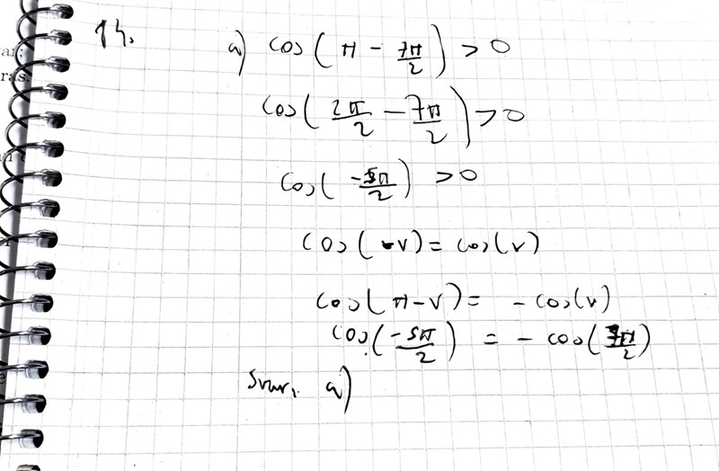
När jag ritar in det i enhetscirkeln så får jag detta. Men cos(-3pi/4)=cos(3pi/4) alltså? Fast hur kan 3pi/4 ligga i det sökta intervallet? Det ser ut som att 3pi/4 ligger mellan pi/2 och pi
-1.jpg?width=800&upscale=false)
destiny99 skrev:Ture skrev:Ok, då förstår jag,
Argumentet i din cosfunktion är mycket riktigt -3pi/4
När jag ritar in det i enhetscirkeln så får jag detta. Men cos(-3pi/4)=cos(3pi/4) alltså? Fast hur kan 3pi/4 ligga i det sökta intervallet? Det ser ut som att 3pi/4 ligger mellan pi/2 och pi
3pi/4 ligger inte i det specificerade intervallet. alfa ligger i det intervallet, nu ska vi bestämma vilket tecken cos(pi-alfa) har.
Du har valt en vinkel (7pi/4)som ligger i intervallet, därefter räknade du ut att pi-7pi/4 blir -3pi/4 och att den vinkeln ligger i tredje kvadranten.
Där kan vi stanna! och istället svara på frågan: Vilket tecken har cos i tredje kvadranten? (Vilket är samma som i andra kvadranten, vilket du mkt riktigt påpekat)
Ture skrev:destiny99 skrev:Ture skrev:Ok, då förstår jag,
Argumentet i din cosfunktion är mycket riktigt -3pi/4
När jag ritar in det i enhetscirkeln så får jag detta. Men cos(-3pi/4)=cos(3pi/4) alltså? Fast hur kan 3pi/4 ligga i det sökta intervallet? Det ser ut som att 3pi/4 ligger mellan pi/2 och pi
3pi/4 ligger inte i det specificerade intervallet. alfa ligger i det intervallet, nu ska vi bestämma vilket tecken cos(pi-alfa) har.
Du har valt en vinkel (7pi/4)som ligger i intervallet, därefter räknade du ut att pi-7pi/4 blir -3pi/4 och att den vinkeln ligger i tredje kvadranten.
Där kan vi stanna! och istället svara på frågan: Vilket tecken har cos i tredje kvadranten? (Vilket är samma som i andra kvadranten, vilket du mkt riktigt påpekat)
Jahaaa okej men då är jag med på tolkningen här! Den har negativ tecken och är då mindre än 0?
Javisst!
c borde alltså vara rätt svar
Ture skrev:Javisst!
c borde alltså vara rätt svar
Ja precis det stämmer. Så hela uppgiften handlade om att bestämma vilket tecken cos(pi-alfa) har under förutsättningen att alfa ligger i det givna intervallet i uppgiften?
alldeles riktigt!
Ture skrev:alldeles riktigt!
Oki tack så mycket för hjälpen!