Mafy 2016 uppgift 2
Hej!
Varför är rätt svar d)? Jag fick fram a)mha kvadreringsregeln.

Rätt svar är d.
Visa din beräkning, så hittar vi felet.
Fast man behöver ju inte räkna alls.
Litet tal minus stort tal blir negativt tal. Klart.
Bubo skrev:Fast man behöver ju inte räkna alls.
Litet tal minus stort tal blir negativt tal. Klart.
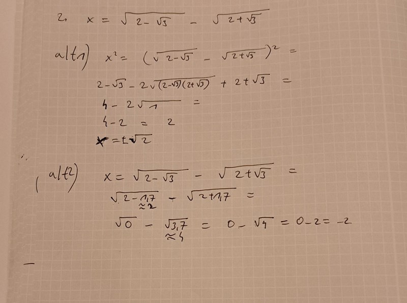
Jag löste uppgiften på 2 olika sätt och får ena gången sqrt(2) och andra -2 vilket ger oss d) som alternativ. Nu tog det här ej så lång tid. Men är det snabbare med alt2 än alt1?

destiny99 skrev:Bubo skrev:Fast man behöver ju inte räkna alls.
Litet tal minus stort tal blir negativt tal. Klart.
Jag löste uppgiften på 2 olika sätt och får ena gången sqrt(2) och andra -2
Det är ju två väldigt olika svar, eller hur?
vilket ger oss d) som alternativ.
Nej. Om du räknade rätt första gången skulle ju a) vara rätt.
Nu tog det här ej så lång tid. Men är det snabbare med alt2 än alt1?
I ditt första svar räknar du alldeles rätt nästan hela vägen. x^2 blir 2.
Sedan gör du en miss: x kan ju inte ha två olika värden.
I ditt andra svar avrundar du alldeles för mycket.
Bubo skrev:destiny99 skrev:Bubo skrev:Fast man behöver ju inte räkna alls.
Litet tal minus stort tal blir negativt tal. Klart.
Jag löste uppgiften på 2 olika sätt och får ena gången sqrt(2) och andra -2
Det är ju två väldigt olika svar, eller hur?
vilket ger oss d) som alternativ.
Nej. Om du räknade rätt första gången skulle ju a) vara rätt.
Nu tog det här ej så lång tid. Men är det snabbare med alt2 än alt1?
I ditt första svar räknar du alldeles rätt nästan hela vägen. x^2 blir 2.
Sedan gör du en miss: x kan ju inte ha två olika värden.
I ditt andra svar avrundar du alldeles för mycket.
Asså när man kvadrerar så får man ju x^2=2 vilket ger oss x=-+sqrt(2). Vad är felet med det svaret? Hur skall man räkna rätt första gången? Det första jag kommer på är antingen kvadreringsregeln eller andra metoden.
Ja jag avrundar för mkt efterslom utan avrundning får vi bara såhär nedan. Hur ska jag veta vad svaret skall bli utan att avrunda 0,3 till 0 och 3,7 till 4 för allt är under roten ur här.

destiny99 skrev:Asså när man kvadrerar så får man ju x^2=2 vilket ger oss x=-+sqrt(2). Vad är felet med det svaret?
Om t = 6-8 så är t lika med -2 och inget annat
t^2 är 4, men t är absolut inte lika med plusminus 2.
Hur skall man räkna rätt första gången? Det första jag kommer på är antingen kvadreringsregeln eller andra metoden.
Ja jag avrundar för mkt efterslom utan avrundning får vi bara såhär nedan. Hur ska jag veta vad svaret skall bli utan att avrunda 0,3 till 0 och 3,7 till 4 för allt är under roten ur här
Roten ur 0.3 är inte ungefär noll.
Roten ur 0.3 är ungefär 0.55.
Bubo skrev:destiny99 skrev:Asså när man kvadrerar så får man ju x^2=2 vilket ger oss x=-+sqrt(2). Vad är felet med det svaret?
Om t = 6-8 så är t lika med -2 och inget annat
t^2 är 4, men t är absolut inte lika med plusminus 2.
Hur skall man räkna rätt första gången? Det första jag kommer på är antingen kvadreringsregeln eller andra metoden.
Ja jag avrundar för mkt efterslom utan avrundning får vi bara såhär nedan. Hur ska jag veta vad svaret skall bli utan att avrunda 0,3 till 0 och 3,7 till 4 för allt är under roten ur här
Roten ur 0.3 är inte ungefär noll.
Roten ur 0.3 är ungefär 0.55.
Jag är ej med på exemplet med t här tyvärr. Om vi går tillbaka till kvadreringsregel metoden där jag fått x^2=2. Menar du att den negativa lösningen förkastas? Isåfall har vi x=sqrt(2) och då borde a) vara rätt men det är det ej
Tillägg: 2 maj 2023 21:29
Jag har tyvärr ingen räknare för att veta vad roten ur 0,3 blir. Vi får ej ha räknare på provet så jag vet ej hur man kan uppskatta x= sqrt(0,3)-sqrt(3,7).
Den här ekvationen har lösningarna x = plusminus sqrt(2)

men den här ekvationen har bara lösningen x = -sqrt(2)

För det första vet du att roten ur ett tal som är mindre än ett blir större än talet.
För det andra vet du att en halv gånger en halv blir en fjärdedel, så sqrt(0.25) = 0.5 och 0.3 är ju lite större.
Bubo skrev:Den här ekvationen har lösningarna x = plusminus sqrt(2)
men den här ekvationen har bara lösningen x = -sqrt(2)
För det första vet du att roten ur ett tal som är mindre än ett blir större än talet.
För det andra vet du att en halv gånger en halv blir en fjärdedel, så sqrt(0.25) = 0.5 och 0.3 är ju lite större.
Hur får du att andra ekvationen har en lösning x=-sqrt(2)? Nej jag vet ej om att roten ur ett tal som är mindre än ett blir större än talet? Kan du ge exempel och förklara?
Det sista är jag typ med på fram tills att vi får roten ur 0,25 som blir lika med 0,5. Men nja 0,3 är ej större än 0,5. Det är jag ej med på.
Experimentera lite själv.
0.1 i kvadrat blir...
0.2 i kvadrat blir...
0.3 i kvadrat blir...
0.4 i kvadrat blir...
0.5 i kvadrat blir...
0.3 är större än 0.25
Bubo skrev:Experimentera lite själv.
0.1 i kvadrat blir...
0.2 i kvadrat blir...
0.3 i kvadrat blir...
0.4 i kvadrat blir...
0.5 i kvadrat blir...0.3 är större än 0.25
Men vi har roten ur 0,3?
Menar du så? Sen kan man göra såhär för roten ur 3,7 som man vet är typ nära roten ur 4 och då vet vi att eftersom roten ur 0,3 är mindre än roten ur 3,7 så blir svaret negativt varför d) ska väljas.

Javisst.