Mafy 2016 uppgift 22
hej!
Såhär långt har jag kommit. Vet ej hur jag ska gå vidare

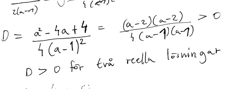
Du har ett teckenfel i diskriminantens täljare under rotenur-tecknet, se bild.
Nästa steg är att försöka förenkla diskriminanten.
Leta efter jämna kvadrater.
=========
Kommentar:
Det är jättesvårt att läsa vad du skriver.
Dina ettor ser ut som uppochnervända V.
Dina fyror ser ut som spetsiga S
Yngve skrev:Du har ett teckenfel i diskriminantens täljare under rotenur-tecknet, se bild.
Nästa steg är att försöka förenkla diskriminanten.
Leta efter jämna kvadrater.
=========
Kommentar:
Det är jättesvårt att läsa vad du skriver.
Dina ettor ser ut som uppochnervända V.
Dina fyror ser ut som spetsiga S
Vad menar du med jämna kvadrater? Ok ser handstilen tydlig ut nu? Nu rättade jag även teckenfel under rotenur så att vi har plus istället.

Ja, nu ser det mycket bättre ut.
Jag menade just det du skrev, att täljaren kan skrivas (a-2)2.
Då är diskriminanten en jämn kvadrat och uttrycket för x blir rätt enkelt.
Yngve skrev:Ja, nu ser det mycket bättre ut.
Jag menade just det du skrev, att täljaren kan skrivas (a-2)2.
Då är diskriminanten en jämn kvadrat och uttrycket för x blir rätt enkelt.
Okej,men nämnaren är ju alltid positivt. Då antar jag att vi kan lösa vilka heltal som är mindre än 0 mha teckentabell?

Om jag får tillåtelsen att låna tråden, men såhär tror jag en början på lösningen kan se ut (använder del av destiny99s lösning):
Vi ska lösa ekvationen och hitta det minsta heltalet sådana att ekvationen har bara positiva lösningar.
För att ekvationen ska ha positiva lösningar, måste diskriminanten vara större än eller lika med noll, det vill säga:
Samma uttryck kan skrivas som:
Detta är sant omm . Genom att lösa olikheten får vi:
Eftersom alltid är större än eller lika med noll, är olikheten uppfylld för alla . Detta innebär att ekvationen har positiva lösningar oavsett vad är.
Hur skulle man kunna fortsätta härifrån då?
Ett annat sätt att lösa uppgiften på:
Den givna andragradsekvationen är . Vi kan observera att koefficienterna i ekvationen adderar till 0, dvs. , vilket betyder att ekvationen alltid har en rot vid . Om vi antar att (Vi antar att eftersom om skulle koefficienten framför andragradstermen bli noll, och då skulle ekvationen inte längre vara en andragradare) kan vi sedan använda faktorisering för att skriva om ekvationen som , som härleds på följande sätt:

Detta ger oss två lösningar, och . Dessa lösningar erhölls genom att sätta varje faktor i produktet lika med noll och lösa för .

För att båda lösningarna ska vara positiva måste vara strikt större än 1. Det minsta heltalet som uppfyller detta krav är 2. Därför är det minsta heltalet sådana att ekvationens alla lösningar är positiva lika med 2.
Alternativ lösning:

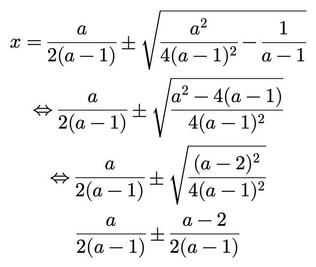
Använder pq-formeln:

Så för positiva rötter har vi följande:
Andra lösningen blir då:
Dani163 skrev:För att ekvationen ska ha positiva lösningar, måste diskriminanten vara större än eller lika med noll
Nej, det räcker inte. Att diskriminanten är större ön 0 innebär att vi har två olika reella lösningar, men de behöver inte nödvändigtvis vara positiva bara för det.
Dani163 skrev:Ett annat sätt att lösa uppgiften på:
Den givna andragradsekvationen är . Vi kan observera att koefficienterna i ekvationen adderar till 0, dvs. , vilket betyder att ekvationen alltid har en rot vid .
Ja, det är en bra observation som vi kan använda för att faktorisera vänsterledet
Om vi antar att (Vi antar att eftersom om skulle koefficienten framför andragradstermen bli noll, och då skulle ekvationen inte längre vara en andragradare)
Vi behöver inte göra det. Det står inget om att det är en andragradsekvation. Om a = 1 så får vi lösningen x = 1 och villkoret är då uppfyllt.
Alternativ lösning:
...
Andra lösningen blir då:
Ja, det var denna väg jag antydde tidigare.
Men vi måste dels ange att a är ett heltal, dels enligt ovan lögga till fallet att a kan vara lika med 1.
Yngve skrev:Dani163 skrev:Ett annat sätt att lösa uppgiften på:
Den givna andragradsekvationen är . Vi kan observera att koefficienterna i ekvationen adderar till 0, dvs. , vilket betyder att ekvationen alltid har en rot vid .
Ja, det är en bra observation som vi kan använda för att faktorisera vänsterledet
Om vi antar att (Vi antar att eftersom om skulle koefficienten framför andragradstermen bli noll, och då skulle ekvationen inte längre vara en andragradare)
Vi behöver inte göra det. Det står inget om att det är en andragradsekvation. Om a = 1 så får vi lösningen x = 1 och villkoret är då uppfyllt.
Alternativ lösning:
...
Andra lösningen blir då:
Ja, det var denna väg jag antydde tidigare.
Men vi måste dels ange att a är ett heltal, dels enligt ovan lögga till fallet att a kan vara lika med 1.
Jag fick fram detta men jag fattar ej hur a=1 är en lösning när den är odef i nämnaren?-1.jpg?width=800&upscale=false)
Att diskriminanten är större än 0 leder inte automatiskt till att alla lösningar är positiva.
Ta ekvationen x2-1 = 0 som exempel.
Här är diskriminanten 1, men vi har en negativ och en positiv lösning.
=====
Din teckentabell stämmer inte riktigt.
Uttrycket (a-2)(a-2) är aldrig negativt, inte heller uttrycket (a-1)(a-1).
=====
Om a = 1: Titta på ursprungsekvationen (a-1)x2-ax+1 = 0.
Om a = 1 så blir ekvationen -x+1 = 0.
Den ekvationen har enbart positiva lösningar.
a = 1 uppfyller alltså villkoret
Yngve skrev:Att diskriminanten är större än 0 leder inte automatiskt till att alla lösningar är positiva.
Ta ekvationen x2-1 = 0 som exempel.
Här är diskriminanten 1, men vi har en negativ och en positiv lösning.
=====
Din teckentabell stämmer inte riktigt.
Uttrycket (a-2)(a-2) är aldrig negativt, inte heller uttrycket (a-1)(a-1).
=====
Om a = 1: Titta på ursprungsekvationen (a-1)x2-ax+1 = 0.
Om a = 1 så blir ekvationen -x+1 = 0.
Den ekvationen har enbart positiva lösningar.
a = 1 uppfyller alltså villkoret
Ah juste ja precis lösningarna kan vara negativa ,positiva och negativa eller positiva. Men då förstår jag!