4
svar
216
visningar
, kommer du vidare?
Nä har verkligen svårt att förstå.
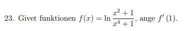
Vet du vad kvotregel och kedje regel är?
Ludzz skrev:Nä har verkligen svårt att förstå.
Lättast är nog kanske att först förenkla funktionen, och sen derivera. . Nu kan du derivera, glöm inte kedjeregeln.
Till sist sätter du in och beräknar .
Vet du hur man deriverar ?
