1
svar
160
visningar
martinmaskin2 behöver inte mer hjälp
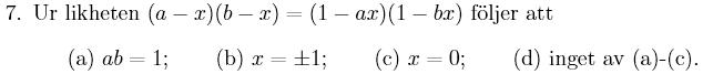
MAFY 2016 Uppgift 7

Jag kom fram till a och b:
eller blir svaret d eftersom både a och b är sanna?
Ja, precis. Antingen så är ab = 1, eller så är x = ±1. Det var lite lurigt.
(När du undersöker x = ±1 så ska du inte anta att ab = 1.)