5
svar
118
visningar
destiny99 behöver inte mer hjälp
Mafy 2017 uppgift 10
Hej!
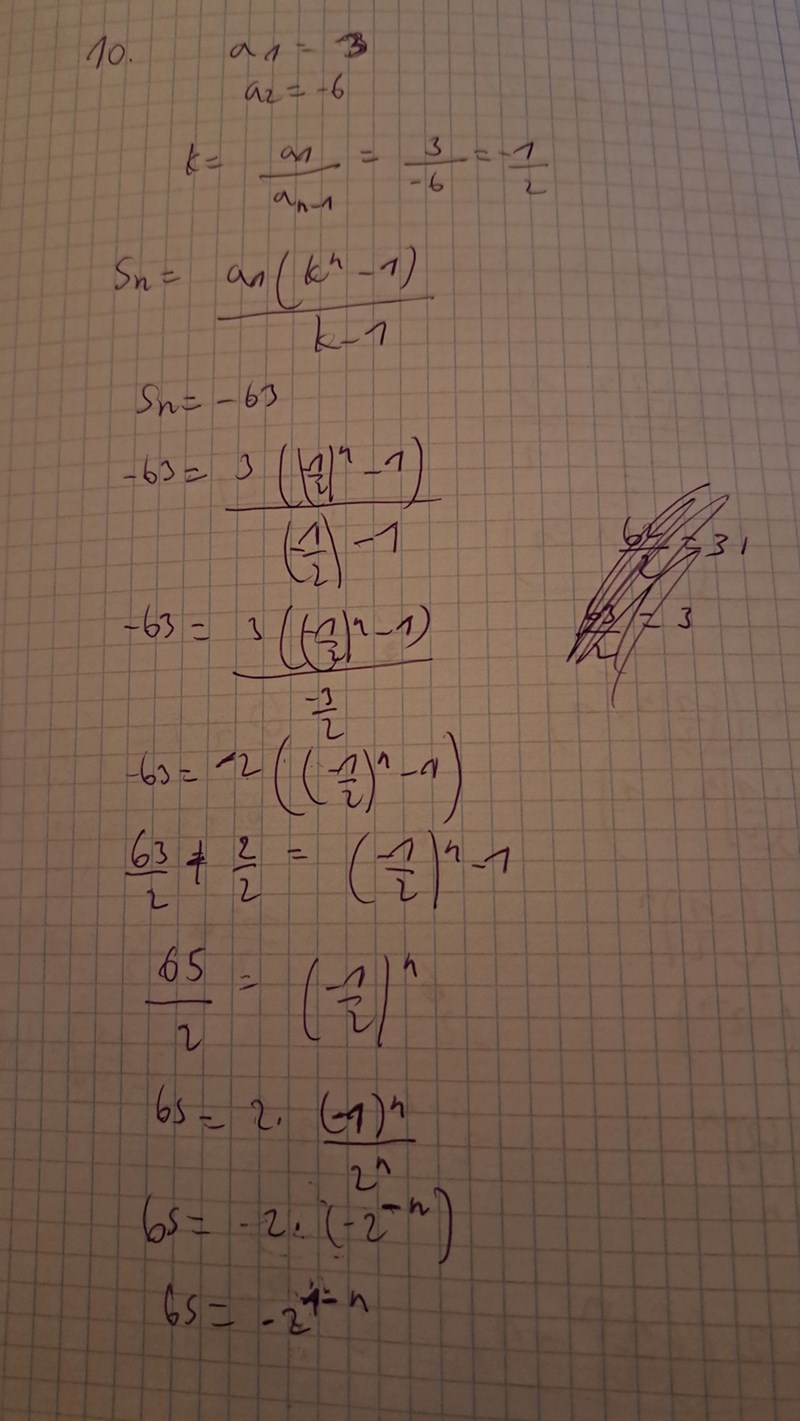
Jag förstår ej riktigt varför rätt svar är a) såhär gjorde jag. Kan dock ej komma på ett tal n som ger mig 65 
k borde väl vara -2, inte -1/2? :)
Smutstvätt skrev:k borde väl vara -2, inte -1/2? :)
Jag brukar använda k= a1/an-1 . Då vet jag att a1=3 och an-1=-6. Vad gör jag för fel här? Är det här sättet ej korrekt?
Du måste använda dig av två intilliggande värden i talföljden. Dividera med för att hitta k. :)
Smutstvätt skrev:Du måste använda dig av två intilliggande värden i talföljden. Dividera med för att hitta k. :)
Ja så första talet är a1=3 och andra talet är -6 så om n=2 så ger det oss a2/a1=-6/3=-2
Det stämmer! ☺️