MAFY 2017 Uppgift 14

Löste den fel på första försöket men sedan kom jag på lösning, så varför inte starta en tråd och förklara för elever i framtiden...
Vinkeln alfa befinner sig mellan 90 och 180 grader. tan(180-alfa) kommer i sin tur befinna sig i första kvadranten, vilket är över noll. Därmed är svaret (a).
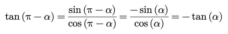
I mitt formelblad står det såhär:
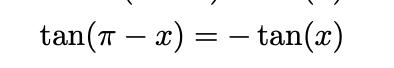
Så hur blir det att blir ett positivt värde då? Såhär härleder jag den också:

Dani163 skrev:I mitt formelblad står det såhär:
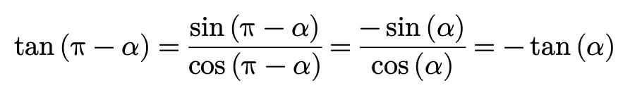
Så hur blir det att blir ett positivt värde då? Såhär härleder jag den också:
Det är väl så att cos(pi-alfa)=-cosalfa? Medan sin(180-v)=sinv.
destiny99 skrev:Dani163 skrev:I mitt formelblad står det såhär:
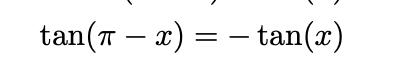
Så hur blir det att blir ett positivt värde då? Såhär härleder jag den också:
Det är väl så att cos(pi-alfa)=-cosalfa? Medan sin(180-v)=sinv.
Ja, var ett miss av mig, men det blir ändå .



