2
svar
116
visningar
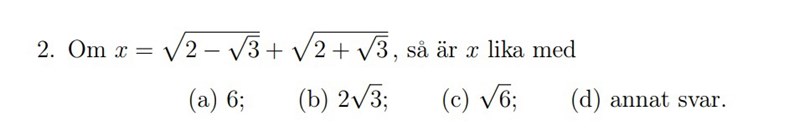
Mafy 2017 uppgift 2
Hej,

Jag har försökt att hitta någon kvadrat till men det har inte gått bra. Genom att säga ungefär vad blir vet jag att a) och b) är fel men hur kan man komma fram till att c) är rätt?
Jag skulle kvadrera x och se vad jag får.
Laguna skrev:Jag skulle kvadrera x och se vad jag får.
Ohhh, okej tack!