Mafy 2017 uppgift 20
Hej!
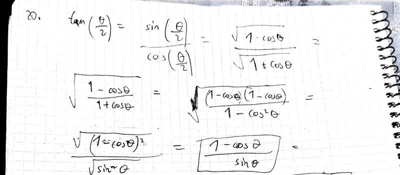
Jag undrar varför mitt sätt ej leder till rätt svar om man kan halva vinkel formlerna utan till? Ingen av alternativen leder till svaret jag är ute efter. Kanske saknar jag en förenkling till?-1.jpg?width=800&upscale=false)
Du glömmer en del möjliga minustecken.
Bubo skrev:Du glömmer en del möjliga minustecken.
Var då nånstans?
På din översta rad har du skrivit att t.ex. sinus för alla vinklar är positivt (eller noll).
Bubo skrev:På din översta rad har du skrivit att t.ex. sinus för alla vinklar är positivt (eller noll).
Jag hänger ej med här. Jag kunde ha valt att ta med +- hela vägen fram till mitt slutsvar. B) hade fortfarande ej varit rätt svar. Men jag lägger till -+ ändå. Se bild

Tillägg: 8 jan 2024 19:14
Edit: jag kom på att man kunde ha ställt upp tan(v/2)=sqrt((1-cosv)/(1+cosv)) och sen jämfört med vilka alternativ som är exakt denna formel. Det är lite jobb men känns rimligt.
Om man är ute att hitta rätt svarsalternativ är det nog lättare att prova med några lätta vinklar och därmed utesluta felaktiga alternativ.
Täta = 0, med tan(0) = 0, utesluter alternativ b och c eftersom vi får 0 i nämnaren.
Täta = 180, som ger ett odefinierat värde på tan(90), utesluter alternativ, a.
ty:
återstår alternativ d.
Förlängning med 2cos(θ/2) ger sin(θ) i täljaren och 2cos2(θ/2) i nämnaren, som kan bytas mot cos(θ) + 1.
Dr. G skrev:Förlängning med 2cos(θ/2) ger sin(θ) i täljaren och 2cos2(θ/2) i nämnaren, som kan bytas mot cos(θ) + 1.
Jag förstår ej hur 2cos(v/2)*sin(v/2)=sinv samt hur 2cos^(v/2)-1 blev cosv+1. Det fattas detaljer liksom.
Dubbla vinkeln för sinus och cosinus!
,
med .
Dr. G skrev:Dubbla vinkeln för sinus och cosinus!
,
med .
Jaa men hur får du sinv i täljaren och cosv+1 i nämnaren?
I täljaren kan du använda dubbla vinkeln för sinus (för halva theta)(rött).
I nämnaren så slås två cos-faktorer ihop till cos2 (blått). Sedan tog jag bort en etta och la till den igen (grönt) (så oförändrat värde) för att kunna använda dubbla vinkeln för cosinus (för halva theta).

Dr. G skrev:I täljaren kan du använda dubbla vinkeln för sinus (för halva theta)(rött).
I nämnaren så slås två cos-faktorer ihop till cos2 (blått). Sedan tog jag bort en etta och la till den igen (grönt) (så oförändrat värde) för att kunna använda dubbla vinkeln för cosinus (för halva theta).
Aha men då är jag med. Om man sätter v=v/2 så får man ju som du skrev