1
svar
99
visningar
Dani163 behöver inte mer hjälp
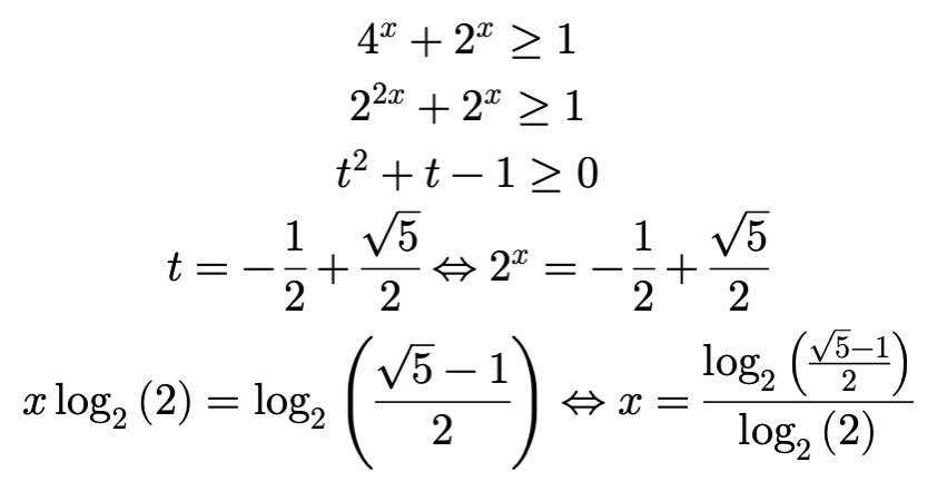
Mafy 2017 Uppgift 27

Jag försöker lösa följande olikhet men har fastnat och behöver hjälp: . Jag har försökt lösa den på följande sätt:

Men facit på uppgift 27 ger svaret .
Vad har jag gjort fel och hur kan jag lösa uppgiften på rätt sätt?
Tack på förhand!
log2(2) är det tal man skall ha som exponent då 2 är bas för att få talet 2.
2talet = 2.
Det talet är 1.
Så du har gjort rätt.