3
svar
167
visningar
llrb behöver inte mer hjälp
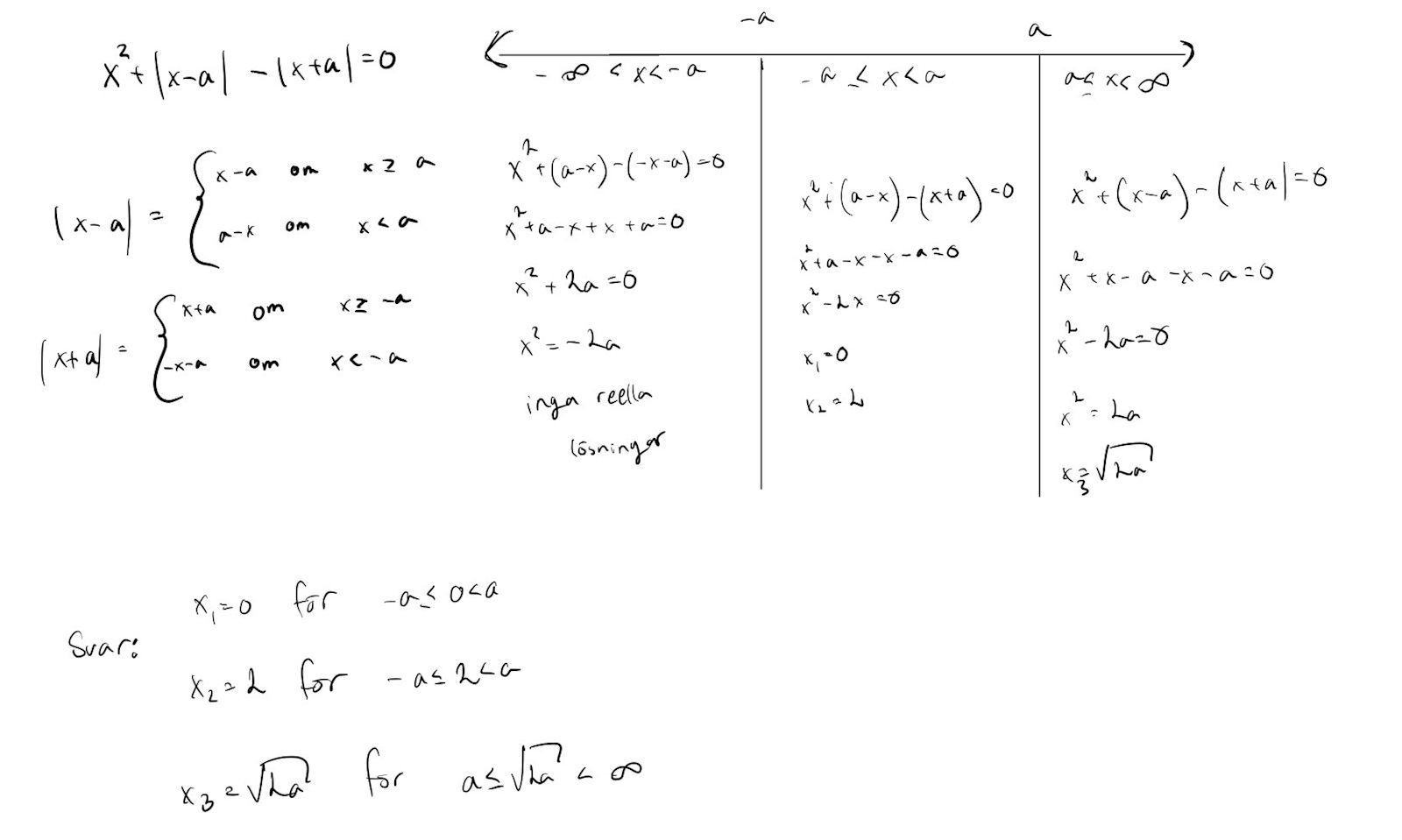
Mafy 2018 fråga 30 c

Min lösning:
Rätta lösningen:

Hej, jag undrar varför lösningarna ser ut ser ut som dem gör? Ni kan se min respektive den rätta lösningen ovan. Är hela min lösning fel, eller endast svaret?
Du kan förenkla dina villkor för a, framför allt .
Menar du såhär?:
Blir de samma svar om man ignorera lemniskatan? Och förstår inte heller hur dem andra två svaren förenklas.
kan man alltid ta bort.
är resultatet, ja.
Eftersom det står i frågan att , så kan du ta bort allt som är negativt.