2 svar
136 visningar
Korra 3888
Postad: 1 apr 2024 13:48 Redigerad: 1 apr 2024 13:57

mafy 2019 f16

Jag testade att stoppa in pi och pi/2 i x och det enda som uppfyller båda är (b). Men det ärinte tillräckligt för att vara helt säker, det gör svaret b mer sannolikt. 

Hur kan man vara säker på att det är samma ? Jag ser inget sätt jag direkt kan skriva om VL till HL på som inte tar för lång tid.

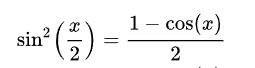
EDIT: 

*Hittade en trigonometrisk identitet 
Det gör saken lättare for sure.. 

destiny99 Online 10982
Postad: 1 apr 2024 14:11
Korra skrev:

Jag testade att stoppa in pi och pi/2 i x och det enda som uppfyller båda är (b). Men det ärinte tillräckligt för att vara helt säker, det gör svaret b mer sannolikt. 

Hur kan man vara säker på att det är samma ? Jag ser inget sätt jag direkt kan skriva om VL till HL på som inte tar för lång tid.

EDIT: 

*Hittade en trigonometrisk identitet 
Det gör saken lättare for sure.. 

Sinus för halva vinklar kan tillämpas här.  byt ut x/2 mot v och se vad som händer.

Korra 3888
Postad: 1 apr 2024 14:18

Förstår vad du menar, precis (y)

Svara
Close