1
svar
82
visningar
mafy 2019 fråga 29


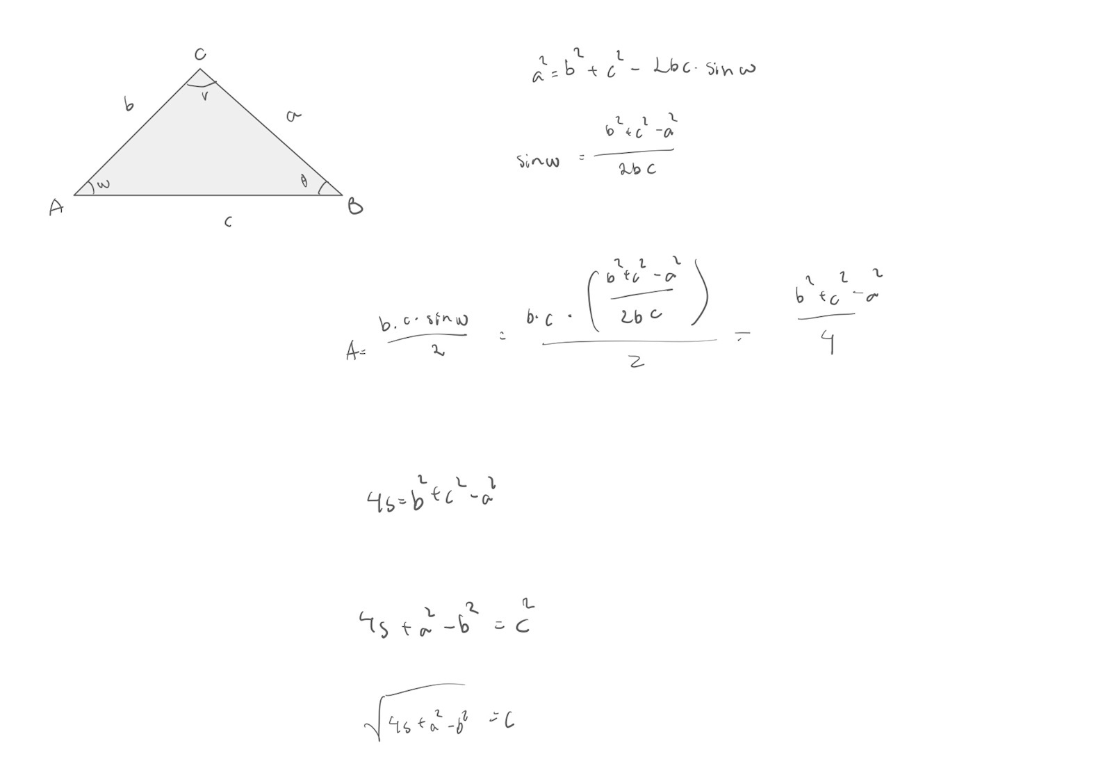
Vad har jag gjort fel i min lösning? c=AB
Cossinussatsen heter cosinussatsen för att den innehåller cosinus.
Notera vidare att det är vinkeln vid C som är trubbig.
Utgå alltså från
Kom ihåg att trubbig vinkel medför