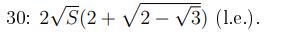
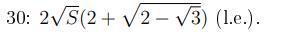
mafy 2019 fråga 30
Hej, varför stämmer inte mitt svar och facit överens?
mitt svar: , skulle kunna förlänga med konjugatet i högra termen men ser inte att det leder till facits svar.
Facit: 

Korra skrev:Hej, varför stämmer inte mitt svar och facit överens?
mitt svar: , skulle kunna förlänga med konjugatet i högra termen men ser inte att det leder till facits svar.
Facit:
https://www.pluggakuten.se/trad/mafy-2019-uppgift-30-3/
Den personen använder inte samma metod för att få fram c.
varför funkar inte min metod ?
Korra skrev:Den personen använder inte samma metod för att få fram c.
varför funkar inte min metod ?
Vad händer om du multiplicerar med konjugatet av nämnaren efter att du gjorde samma nämnare på båda uttrycket?
På MaFy så får man ALDRIG ha en irrationell nämnare. Eftersom är irrationell så måste du rationalisera nämnaren. Gör du det så får du facits svar.
Korra skrev:Den personen använder inte samma metod för att få fram c.
varför funkar inte min metod ?
Din metod är säkert OK, bara att de har ett annat format på svaret. Nämnare bör ej innehålla rot-tecken, men hur sedan ett uttryck kan förenklas ytterligare är en smaksak och IMO inte så viktigt. Uppgiften går ej ut på att hantera algebraiska uttryck för att få dem på ett speciellt format precis. Här är "vägen" till facits svar

Om man nu skall vara petnoga så vill jag ha det till
![]()
men där tog tydligen energin slut på GU...

