MaFy 2019 uppgift 19
Hejsan! Jag har fastnat på denna uppgiften:
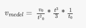
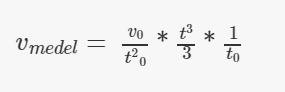
Jag har tänkt såhär:
men jag fastnar på att jag inte vet vad t0 är… Troligtvis behöver man inte den siffran eftersom man antagligen ska kunna förenkla bort den någonstans, men jag ser inte riktigt var? Är det när jag integrerar v0 som man ska ta hänsyn till en konstant som uppkommer under integreringen?
Eftersom accelerationen är konstant så är medelhastigheten lika med medelvärdet av start- och sluthastigheten.
Om du känner dig osäker på detta så kan du rita ett v/t-diagram.
Är det såhär du menar?
Troligtvis inte eftersom svaret är fel.. 😅
om hastigheten är
så är
och medelhastigheten ges av s/t alltså
sen sätter vi in det vi vet
Nog är formuleringen i uppgiften vilseledande, accelerationen är inte konstant i betydelsen; lika stor hela tiden, men den pågår hela tiden utan uppehåll
Okej då förstår jag! Verkar som att jag deriverade istället för integrera… slarvfel. Men tack för svaret! :)
Varför börjar uppgiften med att säga att accelerationen är konstant?
Det kan inte stämma med en hastighet
Edit: Jag ser att Ture gav en mycket välvillig tolkning...
Visst är det galet!
Men va?
Det var verkligen en uselt formulerad uppgift!
Ture skrev:om hastigheten är
så är
och medelhastigheten ges av s/t alltså
sen sätter vi in det vi vet
Nog är formuleringen i uppgiften vilseledande, accelerationen är inte konstant i betydelsen; lika stor hela tiden, men den pågår hela tiden utan uppehåll
Jag förstår ej vad du gör med 90t0/3 ? Du sätter den lika med 30. Men vad är t0?
Men vad är t0?
Det står i uppgiften.
Smaragdalena skrev:Men vad är t0?
Det står i uppgiften.
Det står att t=t0 men jag är ej med på 90t/3 som från ingenstans blir lika med 30
är du med på det här?

Ser du att det går att skriva som
?
och om vi sätter in t = t0 och v0 = 90 får vi
Ture skrev:är du med på det här?
Ser du att det går att skriva som
?och om vi sätter in t = t0 och v0 = 90 får vi
Jag är ej med var du hämtar 1/t0 ifrån?
För att få medelhastigheten delar jag sträckan med tiden
a
Det i rött inringade är uttrycket för sträckan, sen delar jag med tiden som är t0 . Matematiskt är det samma sak som att multiplicera med 1/t0
Ture skrev:För att få medelhastigheten delar jag sträckan med tiden
a
Det i rött inringade är uttrycket för sträckan, sen delar jag med tiden som är t0 . Matematiskt är det samma sak som att multiplicera med 1/t0
Aa fattar. Då är jag med!

