jag förstår ej den här problemet . tips på hur jag kan angripa den? jag vet att rörelsemängdens bevarande är m1u1+m2u2= m1v1+m2v2
Tänk på att rörelsemängden har riktning. dvs u1=v och u2=-v
Det snabbaste sättet att hitta rätt svar är att inse vad den kinetiska energin blir efter inelastisk stöt av två lika stora massor.
Pieter Kuiper skrev:Det snabbaste sättet att hitta rätt svar är att inse vad den kinetiska energin blir efter inelastisk stöt av två lika stora massor.
Ja jag ska tänka på det
Mahiya99 skrev:Pieter Kuiper skrev:Det snabbaste sättet att hitta rätt svar är att inse vad den kinetiska energin blir efter inelastisk stöt av två lika stora massor.
Ja jag ska tänka på det
Det finns dock en liten risk med det. Bara för att värdet stämmer när m1 = m2 behöver det ju inte stämma i alla andra fall. Det skulle ju kunna vara alternativ D också.
henrikus skrev:Det skulle ju kunna vara alternativ D också.
Nej, inte D, det svaret kan man stryka omedelbart.
Pieter Kuiper skrev:henrikus skrev:Det skulle ju kunna vara alternativ D också.Nej, inte D, det svaret kan man stryka omedelbart.
Jo, men man måste ändå göra det. Men det stämmer. Man har allt man behöver.
Pieter Kuiper skrev:Det snabbaste sättet att hitta rätt svar är att inse vad den kinetiska energin blir efter inelastisk stöt av två lika stora massor.
Kinetiska energi vid oleastisk stöt är väl mindre efter stöten?
Pieter Kuiper har en mycket snabb lösning.
Om de hade samma massa skulle de ju stanna helt efter krocken och 100% av rörelseenergin skulle gå förlorad.
Andelen skulle då bli 1. Vilket av uttrycken blir 1 då du sätter m=M ?
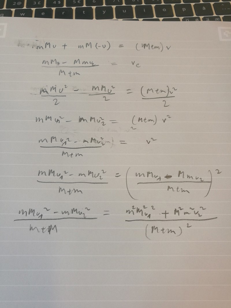
Alternativet (betydligt mer jobb) är att du sätter upp rörelsemängdens bevarande samt Ekföre och Ekefter:
Sätt in uttrycket för ve i uttrycket för Eke. Andelen du söker är :
Sätt in allt och förenkla....
förstår ej vad jag ska förenkla och sätta in i vadå??
varför tar du ekf-eke/ekf?
Det är andelen energi som har gått förlorad.
henrikus skrev:Det är andelen energi som har gått förlorad.
1- Eke/Ekf?
Mahiya99 skrev:henrikus skrev:Det är andelen energi som har gått förlorad.
1- Eke/Ekf?
Ja. Vilket är samma som (Ekf-Eke)/Ekf
jag har lite svårt att fortsätta Förenkla i täljaren


