MaFy 2021 fråga 11
Fråga:
"En boll släpps från vila från en punkt P på en trädgren, 5 m över marken. Precis samtidigt kastas en annan boll med utgångsfarten v0 från en punkt belägen 1 m över marken och på det horisontella avståndet 4 m från den första bollen. I vilken riktning skall den andra bollen kastas för att träffa den första bollen? Luftmotståndet är försumbart.
A. I riktning mot en punkt över P.
B. I riktning mot P.
C. I riktning mot en punkt under P
D. Kan ej avgöras utan ytterligare information."
Man kan "lösa" detta problem med kaströrelse på följande sätt:
Betäckna och som rörelse i - och -led för boll $ii = 1, 2x_1(t) = 4\displaystyle y_1 \left(t\right) = 5-\frac{gt^2}2
Låt vinkeln som boll 2 kastas med vara \beta \in \left(0,\frac \pi 2\right)x_2(t) = v_0t \cos \beta\displaystyle y_2\left(t\right) =1+ v_0 t \sin \beta - \frac{gt^2}2x_1 = x_2y_1 = y_2x_1 = x_2\displaystyle t = \frac{4}{v_0 \cos \beta}ty_1 = y_21 = \tan \beta\beta = \frac\pi 4\textbf Pv_0v_04 \sqrt{\frac g5}Dv_0\beta = \frac \pi 4v_0\beta = \frac \pi 4B$$ rätt svar. Är detta rätt tänkt?
?? 
Varför dök html upp 😭
Tydligen kan jag inte redigera mitt inlägg för att fixa vad som hände. Kommer lägga upp mitt inlägg igen som ett svar på denna post.
Har ingen aning vad som hände med mitt inlägg. Försökte redigera lite LaTeX... Hur som helst, mitt inlägg:
Fråga:
"En boll släpps från vila från en punkt P på en trädgren, 5 m över marken. Precis samtidigt kastas en annan boll med utgångsfarten v0 från en punkt belägen 1 m över marken och på det horisontella avståndet 4 m från den första bollen. I vilken riktning skall den andra bollen kastas för att träffa den första bollen? Luftmotståndet är försumbart.
A. I riktning mot en punkt över P.
B. I riktning mot P.
C. I riktning mot en punkt under P
D. Kan ej avgöras utan ytterligare information."
Man kan "lösa" detta problem med kaströrelse på följande sätt:
Betäckna och som rörelse i - och -led för boll ()
För boll 1: och
Låt vinkeln som boll 2 kastas med vara
För boll 2 får vi då ekvationerna och
För skärning måste och
Då har vi att
Sätter man in detta värdet för i ekvationen får man att , vilket ger (vinkeln direkt riktad mot )
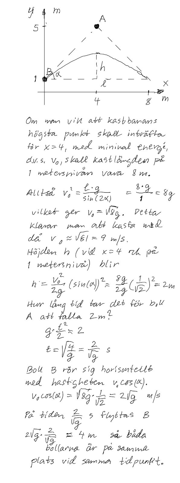
Problemet jag har med denna lösning är att värdet på ändå spelar roll. I denna uppgift finns en mark. Om är liten nog (mindre än ) träffar bollarna "under marken". (Se denna desmos graf för demonstration). Detta fick mig först att tänka , informationen är ej tillräcklig då värdet på spelar roll i om bollarna träffas eller ej.
Däremot kan man säga att är ett nödvändigt kriterium för att de ska träffas. Beroende på behöver de inte träffas, men om de träffar måste . Eftersom skärning endast kan ske för denna vinkel är rätt svar. Är detta rätt tänkt?
Snyggt resonerat på en riktigt knepig uppgift!
Jag tänkte så här:
Om v0 är oändlig så så sker en träff med vinkeln och tiden blir noll.
Om v0 är stor, men ändlig, så sker träffen lite under P men vinkeln blir densamma. Och så kan man fortsätta resonera tills v0 är för låg för att boll 2 ska hinna fram innan boll 1 har slagit i marken.
Detta är en lösning för att få till en träff, Är lite osäker på om det är den enda.
Med vinkeln så sker träffen när boll 2 är i sin högsta punkt. Kan det finnas en lösning där kastbanans högsta punkt hamnar innan x=4m? Och i så fall att vinkel blir större?
Fast, ändå, i alla dessa fall så finns det säkert en en minsta hastighet på v0 för att få en träff.
ThomasN skrev:Snyggt resonerat på en riktigt knepig uppgift!
Jag tänkte så här:
Om v0 är oändlig så så sker en träff med vinkeln och tiden blir noll.
Om v0 är stor, men ändlig, så sker träffen lite under P men vinkeln blir densamma. Och så kan man fortsätta resonera tills v0 är för låg för att boll 2 ska hinna fram innan boll 1 har slagit i marken.
Detta är en lösning för att få till en träff, Är lite osäker på om det är den enda.Med vinkeln så sker träffen när boll 2 är i sin högsta punkt. Kan det finnas en lösning där kastbanans högsta punkt hamnar innan x=4m? Och i så fall att vinkel blir större?
Fast, ändå, i alla dessa fall så finns det säkert en en minsta hastighet på v0 för att få en träff.
Det borde inte kunna finnas några andra lösningar för vinkeln. Ekvationerna för kaströrelse medför att , vilket enbart har vår lösning inom intervallet vinkeln kan vara i.
