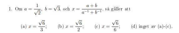
MAFY 2021 Uppg.1
Hej!
Skulle behöva hjälp med denna uppgift:

Jag vet inte om jag riktigt räknat/förenklat det korrekt men det leder till :
Sen stannar det helt..
Uppskattar all hjälp jag kan få !
Du har gjort ett liten fel
Nästa steg blir
Detta är lite krångligt sätt, jag hade multiplicerat ditt första uttryck med sqrt(2)*sqrt(3) i båda täljaren och nämnaren
=...
DrMuld skrev:Du har gjort ett liten fel
Nästa steg blir
Detta är lite krångligt sätt, jag hade multiplicerat ditt första uttryck med sqrt(2)*sqrt(3) i båda täljaren och nämnaren
=...
Ah, misstänkte att jag kan ha räknat fel...
Okej men när jag då får så kan jag förlänga uttrycket med
Detta kan jag sedan förkorta med 3 och få
vilket är lösningen på frågan.
Stort tack för hjälpen!