1
svar
298
visningar
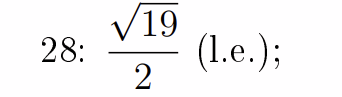
MaFy 2021 uppgift 28

Om jag ritar triangeln och helt enkelt mäter med lineal, får jag fram ungefär 2,2 l.e
Skulle mitt svar bli godkänd om jag svarade ungefär 2,2 l.e?
eftersom facitär:
Vilket är 2,179 l.e
Jag får fram rätt svar med hjälp av cosinus satsen, men sparar rätt mycket tid genom att mäta och rita istället.
Det skulle jag nog tyvärr säga att du inte kommer.