6 svar
145 visningar
calmfrenzy behöver inte mer hjälp
calmfrenzy 15
Postad: 9 maj 2024 13:59

mafy 2022 liknande uppgift till uppgift 11

Hej! Jag försöker lära mig formeln för den geometriska summan men förstår inte riktigt vart variabeln a samt k ligger i ekvationen när man väl gör om den till (2^1/3^0)+(2^2/3^1) osv. Skulle jag kunna få hjälp stegvis hur man ska tänka? 

PATENTERAMERA 7998
Postad: 9 maj 2024 14:31

Du kan skriva om som

2(1 + 2/3 + (2/3)2 + … + (2/3)2000).

calmfrenzy 15
Postad: 9 maj 2024 14:39

Är a=2 och k=2/3 då?

PATENTERAMERA 7998
Postad: 9 maj 2024 15:04

Du få förklara vad du menar med a och k. Vi är inte tankeläsare.

calmfrenzy 15
Postad: 9 maj 2024 15:09

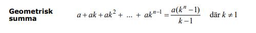
Ursäkta, jag utgår från formeln fär den geometriska summan som finns i formelblad matematik 4. Den ser ut så här:

PATENTERAMERA 7998
Postad: 9 maj 2024 15:10

Ja, då stämmer det a = 2, k = (2/3).

calmfrenzy 15
Postad: 9 maj 2024 15:11

Då förstår jag, tack!

Svara
Close