Mafy 2022 Uppgift 22
Hej alla,
Jag har försökt att lösa följande uppgift, men jag har stött på ett problem där mitt svar inte överensstämmer med svaret i facit. Uppgiften lyder:
"Bestäm alla reella tal , för vilka ekvationen har två olika lösningar sådana att kvoten mellan dem är lika med 2. Ange summan av det största och det minsta $p$ med den egenskapen."

Jag försökte lösa uppgiften men jag har fastnat och kommer ingen vart riktigt.
Som jag har lärt mig för att kvadratkomplettera en term i formen ax^2 + bx + c, börjar man med att hitta de två termerna som multiplicerade tillsammans ger c, och som adderade ger b. Sedan delar man upp b i dessa två termer och faktoriserar. Detta ger en form av kvadratisk ekvation som kan lösas genom att ta roten ur båda sidor av ekvationen.
Jag har försökt förstå hur man kvadratkompletterar detta genom att byta ut de olika koefficienterna och termerna, som p mot a, (1+p2) mot b. Då får vi att a × a = a2, och att a + a = b ska gälla samtidigt. Dvs, p + p = 1 + p2, och detta ger mig i sin tur (p-1)2 som blir p = 1 när binomen likställs med 0. Men detta verkar inte leda mig i rätt spår beträffande kvadratkompletteringen, för vi vill även att p2 = 1+p2, och detta leder till motsägelsen 0 = 1.
Kan någon hjälpa mig att förstå detta problem och hitta rätt svar?
Tack på förhand!
Pröva följande metod:
För att ekvationen ska ha två olika lösningar måste .
Skriv därför om ekvationen på formen
Använd att sambanden mellan rötter , och koefficienter och i ekvationen är
- , dvs
- , dvs
Du vill även ha att
Yngve skrev:
- , dvs
Varför -b?
Dani163 skrev:
Varför -b?
Lös ekvationen x2+bx+q=0 och summera x1 och x2 så ser du att det är så.
Yngve skrev:Pröva följande metod:
För att ekvationen ska ha två olika lösningar måste .
Skriv därför om ekvationen på formen
Använd att sambanden mellan rötter , och koefficienter och i ekvationen är
- , dvs
- , dvs
Du vill även ha att
Vi börjar med att skriva om ekvationen på standardform:
Enligt ledtråden vet vi att lösningarna till ekvationen uppfyller följande system av ekvationer:

där och är rötterna till ekvationen.
Vi kan använda den tredje ekvationen för att eliminera från de första två ekvationerna:
Vi kan nu ersätta :
Fast här insåg jag att jag är ute och cyklar och inte vet vad jag håller på med. Kan någon hjälpa mig vidare härifrån?
Fast här insåg jag att jag är ute och cyklar och inte vet vad jag håller på med. Kan någon hjälpa mig vidare härhärifrån
Sambanden och ger dig att , dvs
Yngve skrev:Fast här insåg jag att jag är ute och cyklar och inte vet vad jag håller på med. Kan någon hjälpa mig vidare härhärifrån
Sambanden och ger dig att , dvs
Efter att ha ersatt med i ekvationen får vi:
vilket ger oss:
Nu kan vi lösa för genom att multiplicera båda sidor med :
Sedan kan vi använda sambandet för att lösa för :
Nu kan vi använda den tredje ekvationen i systemet för att hitta kvoten mellan lösningarna:
Så vad säger detta oss, nu?
Du har inte använt det samband jag tipsade om i svar #6.
Vi backar tillbaka lite.
Vi vet att och vi ser nu vilka motsvarande värden på vi då får:
- För får vi att .
- För får vi att .
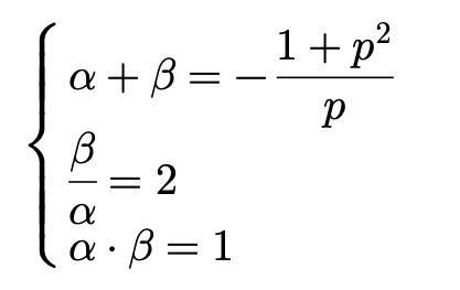
Nu kan vi använda detta i sambandet Vilket ger oss följande två fall:
- Fall 1:
- Fall 2:
Lös nu ut ur dessa ekvationer så är du nästan klar.
Yngve skrev:
- Fall 1:
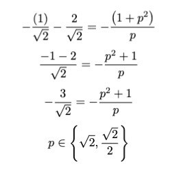
För detta fall får jag
-
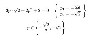
Fall 2:
Jag erhåller ingen reell rot för denna ekvation.
Så vad kan man dra för slutsats? Att summan av de reella rötterna är 0?
Dani163 skrev:Yngve skrev:
- Fall 1:
För detta fall får jag
Hur får du det? Visa din uträkning.
Fall 2:Jag erhåller ingen reell rot för denna ekvation.
Samma här, visa din uträkning.
Yngve skrev:Dani163 skrev:Yngve skrev:
- Fall 1:
För detta fall får jag
Hur får du det? Visa din uträkning.


Fall 2: -\frac{1}{\sqrt{2}}-\frac{2}{\sqrt{2}}=-\frac{1+p^2}{p}Jag erhåller ingen reell rot för denna ekvation.
Samma här, visa din uträkning.

Det verkar ha blivit något fel på formateringen i det du skrev.
Kan du skriva för hand och ladda upp en bild?
Yngve skrev:Det verkar ha blivit något fel på formateringen i det du skrev.
Kan du skriva för hand och ladda upp en bild?
Skrev upp koden på Overleaf och det funkade utmärkt. Har ändrat mitt inlägg. Hoppade över några steg vid .
Bra, nu stämmer det.
Kommer du vidare?
Yngve skrev:Bra, nu stämmer det.
Kommer du vidare?
Det största och det minsta p har summan 0?
Eller har jag hoppat över någon steg?
Jag får samma resultat.