Mafy 2022 Uppgift 8
Jag har försökt att lösa följande uppgift på egen hand men fastnat och behöver hjälp. Uppgiften lyder:
Lös denna uppgift:
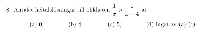
Antalet heltalslösningar till olikheten är
(a) 0 ;
(b) 4 ;
(c) 5 ;
(d) inget av (a)-(c).

Jag har försökt att lösa uppgiften genom att först multiplicera båda sidor med för att bli av med nämnarna. Detta ger olikheten , vilket är uppenbart falskt. Därför tror jag att det inte finns några heltalslösningar till olikheten. Men jag vet inte om det är korrekt lösning? Jag är osäker på om min metod är korrekt. Kan någon vara snäll och hjälpa mig att förstå hur man löser uppgiften på rätt sätt? Tack på förhand!
Felet med din metod är att du inte tar hänsyn till de fall där nämnarna är negativa.
Om du multiplicerar båda sidor av en olikhet med ett negativt tal så måste du vända på olikhetstecknet.
En väg framåt är alltså att dela upp problemet i de tre intervallen x < 0, 0 < x < 4, x > 4 och lösa olikheten i respektive intervall.
En annan väg framåt är att subtrahera 1/(x-4) från båda sidor, göra liknämnigt och sedan hitta de (heltals)värden på x för vilka bråkets värde är större än 0, dvs de (heltals)värden på x för vilka både täljare och nämnare har samma tecken.
En tredje väg är att helt enkelt pröva med olika heltalsvärden på x, förslagsvis , , , , o.s.v.
En fjärde väg är att skissa graferna till y = 1/x och y = 1/(x-4) och se för vilka heltalsvärden på x som den förstnämnda grafen ligger ovanför den sistnämnda.
Yngve skrev:Felet med din metod är att du inte tar hänsyn till de fall där nämnarna är negativa.
Om du multiplicerar båda sidor av en olikhet med ett negativt tal så måste du vända på olikhetstecknet.
Ah självklart, minns att jag begick samma misstag för inte så längesedan.
En väg framåt är alltså att dela upp problemet i de tre intervallen x < 0, 0 < x < 4, x > 4 och lösa olikheten i respektive intervall.
Menar du som en sanningstabell då?

Undrar också hur du kom fram till dessa intervaller. Är det så lätt som att se att är positiv för och negativ för , medan är positiv för och negativ för .?
En annan väg framåt är att subtrahera 1/(x-4) från båda sidor, göra liknämnigt och sedan hitta de (heltals)värden på x för vilka bråkets värde är större än 0, dvs de (heltals)värden på x för vilka både täljare och nämnare har samma tecken.
Såhär?
Undersöker för vilka x som nämnaren är negativ:
Hur gör man härifrån för att räkna ut antalet lösningar?
En tredje väg är att helt enkelt pröva med olika heltalsvärden på x, förslagsvis , , , , o.s.v.
osv… men jag misstänker att detta hade tagit längre tid. Vart drar man gränsen för antalet tal att testa?
En fjärde väg är att skissa graferna till y = 1/x och y = 1/(x-4) och se för vilka heltalsvärden på x som den förstnämnda grafen ligger ovanför den sistnämnda.
Hur lätt hade det varit att rita grafen av denna? Jag saknar vanan att göra skiss av såna här typer av grafer.
Dani163 skrev:
Menar du som en sanningstabell då?
Nej jag menar på följande sätt:
- För alla x < 0 så gäller att både 1/x och 1/(x-4) är negativa. Därför ska olikhetstecknet vändas både då vi multiplicerar med x och då vi multiplicerar med (x-4). I det här intervallet kan olikheten alltså skrivas x-4 > x.
- För alla 0 < x < 4 så gäller att 1/x är positivt och 1/(x-4) är negativt. Därför ska olikhetstecknet vändas när vi multiplicerar med (x-4) men inte då vi multiplicerar med x. I det här intervallet kan olikheten alltså skrivas x-4 < x.
- För alla x > 4 så gäller att både 1/x och 1/(x-4) är positiva. Därför ska olikhetstecknet inte vändas vare sig när vi multiplicerar med (x-4) eller då vi multiplicerar med x. I det här intervallet kan olikheten alltså skrivas x-4 > x.
Undrar också hur du kom fram till dessa intervaller. Är det så lätt som att se att är positiv för och negativ för , medan är positiv för och negativ för .?
Ja, det är så lätt.
(Återkommer med svar på dina övriga frågor om en stund.)
Dani163 skrev:
Såhär?
Ja, det stämmer.
Undersöker för vilka x som nämnaren är negativ:
Nej, det stämmer inte. Om t.ex x = -1 så är x2-4x = 1+4 = 5, vilket är större ön 4. Rätt lösning är 0 < x < 4, vilket kan inses om du skissar grafen till y = x2-4x. För vilka vörden på x ligger denna graf under x-axeln? Dessa x-värden är desamma som lösningen till olikheten x2-4x < 0.
Hur gör man härifrån för att räkna ut antalet lösningar?
Du räknar antalet heltal som uppfyller 0 < x < 4.
osv… men jag misstänker att detta hade tagit längre tid. Vart drar man gränsen för antalet tal att testa?
Efter ett tag ser du mönstret.
Hur lätt hade det varit att rita grafen av denna? Jag saknar vanan att göra skiss av såna här typer av grafer.
Om man är van går det snabbt, annars tar det lite tid.