Mafy 2023 uppgift 10
Hej!
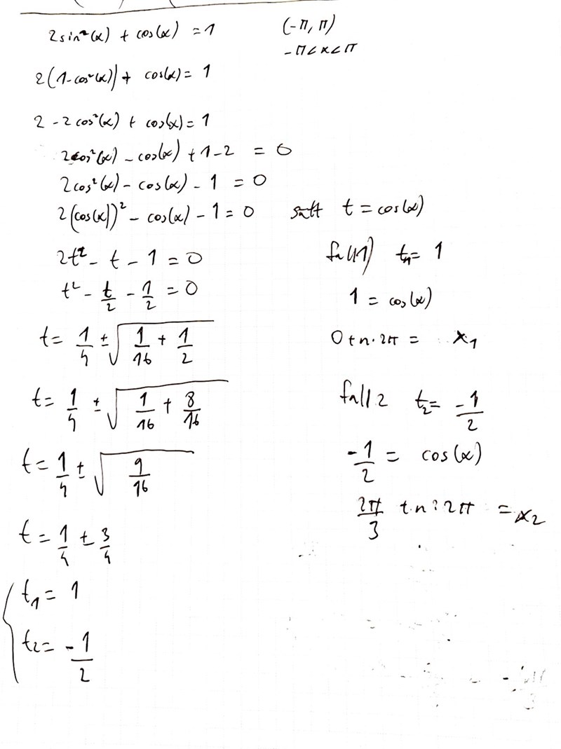
Rätt svar är c. Vad är det jag missat i min lösning? Jag kommer endast fram till 2 lösningar .jpg?width=800&upscale=false)

Det finns två lösningar till cos(x)=-0.5
Tillägg: 11 jul 2023 15:14
OBS! Det andra lösningen är större än pi men subtrahera 2pi så får du en lösning som ligger i intervallet.
Calle_K skrev:Det finns två lösningar till cos(x)=-0.5
Tillägg: 11 jul 2023 15:14
OBS! Det andra lösningen är större än pi men subtrahera 2pi så får du en lösning som ligger i intervallet.
Hur kan cos(x)=-0,5 ha 2 lösningar? Och varför subtraherar man med 2pi?
cos(x) = cos(-x)
Titta på enhetscirkeln.
Laguna skrev:cos(x) = cos(-x)
Titta på enhetscirkeln.
Ja men nu har vi cos(x)= -0,5. Betyder det att det är samma sak som cos(x)=cos(-pi/3)= -0,5?
Ekvationen har tre lösningsmängder:
Säg till om du vill ha ytterligare förklaring av detta.
Om du väljer n = 0 ur första lösningsmängden får du lösningen som ligger i det angivna intervallet. Alla andra värden på n ger lösningar utanför intervallet.
Om du väljer n = 0 ur andra lösningsmängden får du lösningen som ligger i det angivna intervallet. Alla andra värden på n ger lösningar utanför intervallet.
Om du väljer n = 0 ur tredje lösningsmängden får du lösningen som ligger i det angivna intervallet. Alla andra värden på n ger lösningar utanför intervallet.
Alltså finns det tre lösningar i det givna intervallet.
Yngve skrev:Ekvationen har tre lösningsmängder:
Säg till om du vill ha ytterligare förklaring av detta.
Om du väljer n = 0 ur första lösningsmängden får du lösningen som ligger i det angivna intervallet. Alla andra värden på n ger lösningar utanför intervallet.
Om du väljer n = 0 ur andra lösningsmängden får du lösningen som ligger i det angivna intervallet. Alla andra värden på n ger lösningar utanför intervallet.
Om du väljer n = 0 ur tredje lösningsmängden får du lösningen som ligger i det angivna intervallet. Alla andra värden på n ger lösningar utanför intervallet.
Alltså finns det tre lösningar i det givna intervallet.
Jaha men jag vill ha en ytterligare förklaring på hur du fick fram x3=-2pi/3? Är det för att cos(-2pi/3)=cos(2pi/3) ?
destiny99 skrev:
Jaha men jag vill ha en ytterligare förklaring på hur du fick fram x3=-2pi/3? Är det för att cos(-2pi/3)=cos(2pi/3) ?
Ja, det stämmer.
Använd gärna enhetscirkeln för att se att sambandet alltid gäller.
Passa då även på att hitta sambandet
Yngve skrev:destiny99 skrev:Jaha men jag vill ha en ytterligare förklaring på hur du fick fram x3=-2pi/3? Är det för att cos(-2pi/3)=cos(2pi/3) ?
Ja, det stämmer.
Använd gärna enhetscirkeln för att se att sambandet alltid gäller.
Passa då även på att hitta sambandet
Ja jag såg en video om detta. Klargjorde en del iaf! Tack för hjälpen!