Mafy 2024 uppgift 19
Hej!
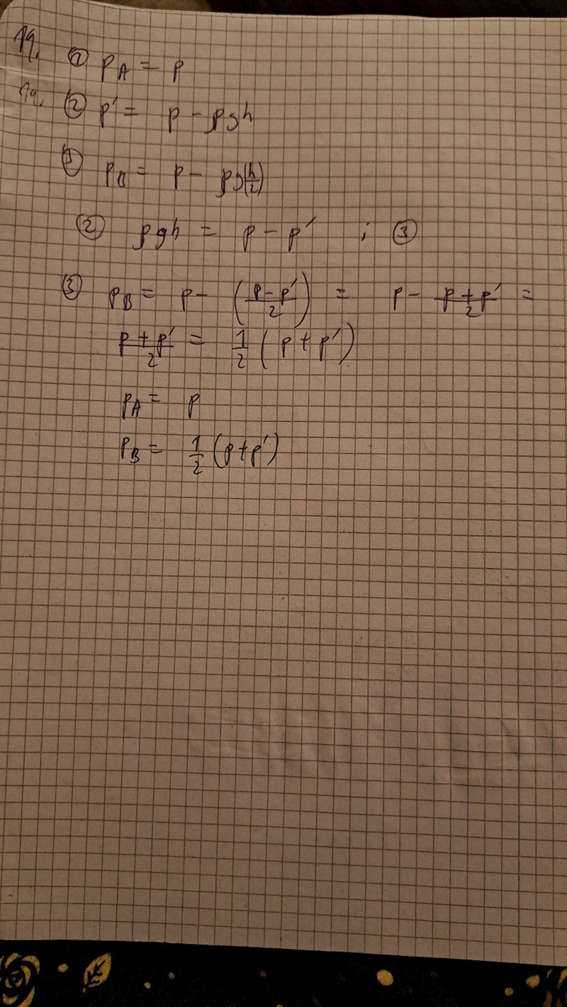
jag vet att p=p0+rågh. Jag fick att pA=p+rågh samt pB=p'+råg(h-h/2). Varför är det fel?

destiny99 skrev:
Varför är det fel?
Vad är trycket i punkt C?
Pieter Kuiper skrev:destiny99 skrev:
Varför är det fel?Vad är trycket i punkt C?
p?
destiny99 skrev:Pieter Kuiper skrev:Vad är trycket i punkt C?
p?
Precis.
Och det är samma tryck som i A.
Pieter Kuiper skrev:destiny99 skrev:Pieter Kuiper skrev:Vad är trycket i punkt C?
p?
Precis.
Och det är samma tryck som i A.
Men punkten C är utanför bägaren medan punkten A är inne i vatten bägaren. Hur kan trycket i A vara samma som i punkten C?
destiny99 skrev:Hur kan trycket i A vara samma som i punkten C?
Om det fanns en skillnad, skulle det uppstå ett flöde.
Pieter Kuiper skrev:destiny99 skrev:Hur kan trycket i A vara samma som i punkten C?
Om det fanns en skillnad, skulle det uppstå ett flöde.
Okej så alla punkter på den linjen där A och C ligger på har alltså samma tryck? Hur räknar man ut trycket i pB?
den där p' som de anger. Är det den totala trycket ?
destiny99 skrev:den där p' som de anger. Är det den totala trycket ?
Kan du ge ett uttryck för p' ?
(Inte att det behövs för att ge svar på vad trycket är i B.)
Pieter Kuiper skrev:destiny99 skrev:den där p' som de anger. Är det den totala trycket ?
Kan du ge ett uttryck för p' ?
(Inte att det behövs för att ge svar på vad trycket är i B.)
p'=p-pgh?
destiny99 skrev:p'=p-pgh?
Nja, , om uttrycket är positivt. Annars 0.
Så vad blir trycket i B?
Pieter Kuiper skrev:destiny99 skrev:p'=p-pgh?
Nja, , om uttrycket är positivt. Annars 0.
Så vad blir trycket i B?
Aa sorry jag vet ej hur man gör rå grejen på PA.
I punkten B blir det p_B=p-råg(h/2)
destiny99 skrev:
I punkten B blir det p_B=p-råg(h/2)
Ett annat uttryck blir pB = p' + ρgh/2. (Enklast är att göra en copy-paste av en ρ från en annan sida, t ex från https://math.typeit.org/ .)
Men vad är ett enklare uttryck?
Ledning: rita en graf av trycket som funktion av höjden i vätskan.
Pieter Kuiper skrev:destiny99 skrev:
I punkten B blir det p_B=p-råg(h/2)Ett annat uttryck blir pB = p' + ρgh/2. (Enklast är att göra en copy-paste av en ρ från en annan sida, t ex från https://math.typeit.org/ .)
Men vad är ett enklare uttryck?Ledning: rita en graf av trycket som funktion av höjden i vätskan.
Ok tack!

Precis!
Och om man tänker på hur en graf ser ut, ser man hur trycket varierar linjärt med höjden. Så halvvägs upp mot ytan är det medelvärdet av dessa båda värden för trycket.
