mafy får jag alla poäng?
Hej, jag får rätt svar men facit anger en mycket mer fördjupning än det jag gör och motiverar en hel del osv. så jag tänkte bara dubbelkolla med er kunniga om jag får alla poäng som man kan få eller vad jag missar:)
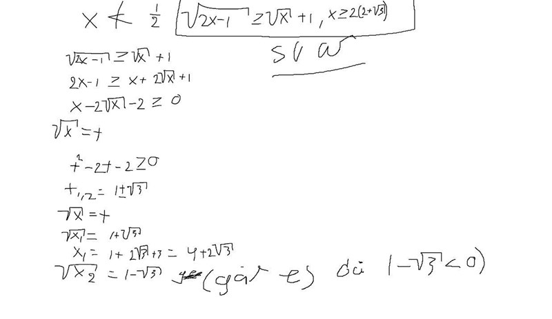
är medveten om att det inte är världens snyggaste redovisning men; jag analyserar och skriver definitionsmängden högst upp och sedan svar till höger samt motivering längst ner kring varför den lösningen ej går.

och här kommer facit:

Jag är inte lärare så jag kan inte bedöma. Dock så ser man att du förstår varje steg, så jag tycker inte du förtjänar avdrag.
Men varför riskera avdrag när du kan bättre? (Men du kanske hade ont om tid?)
1. Tydligt svar, vid slutet av uppgiften.
2. När du går från olikhet till likhet för t1 och t2 så kan du skriva varför du gör så.
...3. Och ett olikhetsstudium, så att man ser hur du drar slutsatsen ifrån de funna nollställena till när olikheten är uppfylld.
Jag vet inte om de skulle ge avdrag för din lösning... Varför inte fråga dem?
Din lösning har ingen motivering nånstans, om du har tid så skriv det gärna.
JohanF skrev:Jag är inte lärare så jag kan inte bedöma. Dock så ser man att du förstår varje steg, så jag tycker inte du förtjänar avdrag.
Men varför riskera avdrag när du kan bättre? (Men du kanske hade ont om tid?)1. Tydligt svar, vid slutet av uppgiften.
2. När du går från olikhet till likhet för t1 och t2 så kan du skriva varför du gör så.
Okej jag hittade ett till slarv och undrar om detta är OK eller helt enkelt en dum stress grej:
Hej, tack för svaren allihop. Ok, angående punkt #2: Hur bör jag motivera det? Jag tänker såhär: Det är en krånglig ekvation där jag antingen utför variabel sub eller kvadrerar (enklast bör ju vara variabel sub, men facit använda kvadrering??), Jag måste ju använda likhet ist för olikhet iom att jag just använder variabel sub då . sedan bör jag återgå till olikhet i svaret då det är det man är ute efter.
Qetsiyah skrev:Jag vet inte om de skulle ge avdrag för din lösning... Varför inte fråga dem?
Din lösning har ingen motivering nånstans, om du har tid så skriv det gärna.
Jaha, kan man göra det också? har dem en mail då eller?
JBL
pepsi1968 skrev:JohanF skrev:Jag är inte lärare så jag kan inte bedöma. Dock så ser man att du förstår varje steg, så jag tycker inte du förtjänar avdrag.
Men varför riskera avdrag när du kan bättre? (Men du kanske hade ont om tid?)1. Tydligt svar, vid slutet av uppgiften.
2. När du går från olikhet till likhet för t1 och t2 så kan du skriva varför du gör så.
Okej jag hittade ett till slarv och undrar om detta är OK eller helt enkelt en dum stress grej:
Hej, tack för svaren allihop. Ok, angående punkt #2: Hur bör jag motivera det? Jag tänker såhär: Det är en krånglig ekvation där jag antingen utför variabel sub eller kvadrerar (enklast bör ju vara variabel sub, men facit använda kvadrering??), Jag måste ju använda likhet ist för olikhet iom att jag just använder variabel sub då . sedan bör jag återgå till olikhet i svaret då det är det man är ute efter.
Det jag menar var bara att du hade fått en olikhet med variabel t att lösa. Jag tycker också att det är väldigt tydligt att du hittar nollställena för likheten (=0). Men du talar aldrig om på vilken sida av nollstället som olikheten gäller. Skulle kunna se ut som en 50%-gissning om man inte redovisar.
När du tar ett steg mellan två olikheter genom kvadrering kan det hända att det blir fel
t.ex. så här:
Vi kvadrerar båda led
Men det är ju inte sant! Något har gått fel.
Det kan hända att du själv inser när, varför och under vilka förutsättningar du får kvadrera båda led i den här uppgiften, men det är rimligt att du motiverar varför ekvivalens råder mellan olikheterna.
PS, du måste inte använda kvadratkomplettering, man använder den metod som är bäst lämpad för det man vill göra.
Däremot är det bra om du vänjer dig vid att skriva koncisa motiveringar vid varje steg, under vilka förutsättningar steget gäller samt om det medför några konsekvenser för den fortsatta lösningsgången.
Jroth skrev:När du tar ett steg mellan två olikheter genom kvadrering kan det hända att det blir fel
t.ex. så här:
Vi kvadrerar båda led
Men det är ju inte sant! Något har gått fel.
Det kan hända att du själv inser när, varför och under vilka förutsättningar du får kvadrera båda led i den här uppgiften, men det är rimligt att du motiverar varför ekvivalens råder mellan olikheterna.
PS, du måste inte använda kvadratkomplettering, man använder den metod som är bäst lämpad för det man vill göra.
Däremot är det bra om du vänjer dig vid att skriva koncisa motiveringar vid varje steg, under vilka förutsättningar steget gäller samt om det medför några konsekvenser för den fortsatta lösningsgången.
Jaha då är jag med, dem förklarade just det där väldigt bra i facit. Tack för att du poängterade det, har lärt mig något nytt:)
Det blir väl såhär:
och då stämmer ju olikheten inte längre, men då kan det blir olika fall istället? en funktion som gäller för x<0,5 och en som gäller x0,5
JohanF skrev:pepsi1968 skrev:JohanF skrev:Jag är inte lärare så jag kan inte bedöma. Dock så ser man att du förstår varje steg, så jag tycker inte du förtjänar avdrag.
Men varför riskera avdrag när du kan bättre? (Men du kanske hade ont om tid?)1. Tydligt svar, vid slutet av uppgiften.
2. När du går från olikhet till likhet för t1 och t2 så kan du skriva varför du gör så.
Okej jag hittade ett till slarv och undrar om detta är OK eller helt enkelt en dum stress grej:
Hej, tack för svaren allihop. Ok, angående punkt #2: Hur bör jag motivera det? Jag tänker såhär: Det är en krånglig ekvation där jag antingen utför variabel sub eller kvadrerar (enklast bör ju vara variabel sub, men facit använda kvadrering??), Jag måste ju använda likhet ist för olikhet iom att jag just använder variabel sub då . sedan bör jag återgå till olikhet i svaret då det är det man är ute efter.
Det jag menar var bara att du hade fått en olikhet med variabel t att lösa. Jag tycker också att det är väldigt tydligt att du hittar nollställena för likheten (=0). Men du talar aldrig om på vilken sida av nollstället som olikheten gäller. Skulle kunna se ut som en 50%-gissning om man inte redovisar.
Jag förstår vad du menar och det kanske var lite så jag gjorde också men jag lade in några värder t.ex 8 och såg att det faktiskt gällde, är det så man ska göra - lägga in värden strax under och över för att motivera eller finns det något snyggare sätt?
Edit: jag hade inte med mina "test" i min redovsning så det var väl lite dumt:P
finns det något snyggare sätt?
Rita!