5
svar
296
visningar
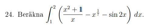
MAFY fråga 2019 24

Det enda jag inte förstår är hur jag får ut den primitiva funktionen till x^1/7 det jag får är F(x) = (7x^8/7)/8
Kontrollderivera!
Hade du rätt?
okej då blir det
(ln4 - (7*2^8/7)/8 + (cos4)/2) - (ln2 -(7*1^8/7)/8 + (cos2)/2)

och det enda jag inte vet hur jag ska få ut är 19/8
Vad får du för primitiv funktion till hela integranden?
ln x^2 - (7 x^(8/7))/8+ cos2x/2
Titta igen på primitiv funktion för
Skriv om som en summa och integrera term för term.