4
svar
171
visningar
ATsmartis behöver inte mer hjälp
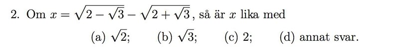
MaFy - Kvadratrötter
Den här uppgiften känner jag att jag löst, men svaret blir fel. Kan någon se vart det går snett?


Jag får det till (a).
RÄTT SVAR (FACIT): (d)
Teckenfel?
Eftersom och funktionen (där ) är strängt växande så är talet negativt. Inget av de angivna talen är negativt, så svarsalternativ D är rätt svar.
Albiki ser den snabbaste lösningen. Men du har tidigare skrivit att du dessutom vill kunna räkna ut talen ... så:
1. använd kvaderingsregeln direkt så går det snabbare
2. om så är och sen får du testa lösningarna (den negativa roten är lösningen)
Okej, jag förstår. Det är rätt logiskt. Jag tänkte inte ens i dem banorna. Tack för förklaringarna.