MAFY-prov 2009 Fråga 15

Jag skulle gärna behöva lite hjälp med starten här. Det enda jag kan tänka mig är att uttrycken påminner mig om konjugation samt att man kan faktorisera två under de "stora" rottecknen.
MVH
En idé skulle vara att ta talet gånger sig självt. Därefter ta roten ut på det. Då finns det kvadreringsregler som man kan utnyttja för att förenkla.
Enda risken är att om man kvadrerar finns risken att informationen om talet är positivt eller negativt går om intet, men talet är positivt, eftersom den första termen är större än den andra.
Försök att kvadrera hela uttrycket.
Förlåt för att det tog så lång tid. Hade lite distanslektion här mitt i allt.

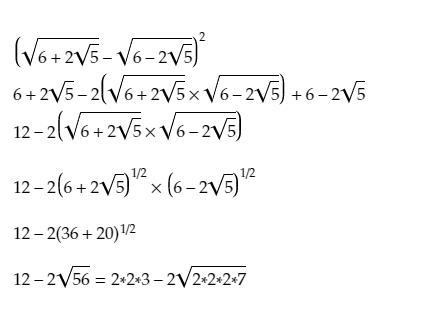
Såhär gjorde jag, men det blir fel när jag kontrollerar med miniräknare.
EDIT: Ser nu att jag har gjort fel i nästsista steget. Det ska stå 2(36-20)^1/2 vilket är roten ur 16 multiplicerat med 2. Då blir det 12-8, och sedan roten ur det, vilket är två som är rätt svar. Tack för hjälpen!