2
svar
133
visningar
Daniel_02 behöver inte mer hjälp
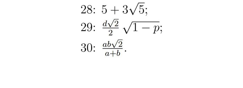
MaFy prov 2016 upg 29


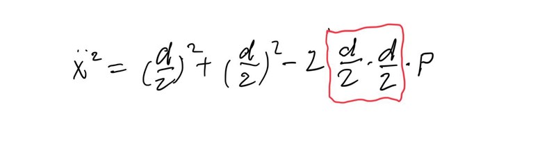
jag förstår inte felet
Jan Ragnar skrev:
Tack : )
