4
svar
201
visningar
Daniel_02 behöver inte mer hjälp
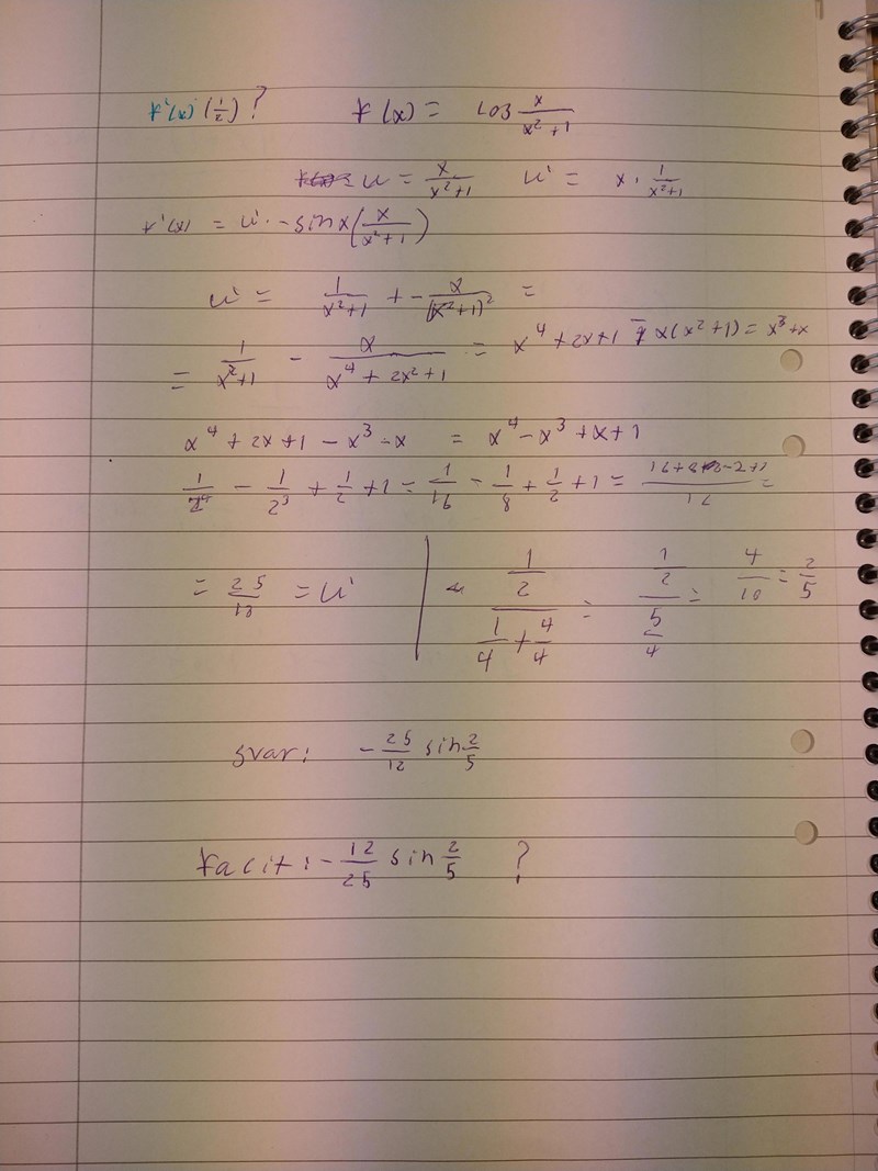
MaFy prov 2017 upg 23
Vad har jag gjort för fel ?
Frågan är f'(1/2)

Jag förstår inte riktigt hur du har använt kvotregeln när du tar fram inre derivatan.
Derivatan av är
Yngve skrev:Jag förstår inte riktigt hur du har använt kvotregeln när du tar fram inre derivatan.
Derivatan av är
Jag använde produkt regeln genom att ha x *
OK då glömde du bara inre derivatan när du deriverade
Yngve skrev:OK då glömde du bara inre derivatan när du deriverade
Tack <3, jag måste vara mer försiktig