7
svar
277
visningar
Daniel_02 behöver inte mer hjälp
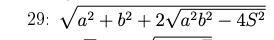
MaFy prov 2019 upg 29

Jag kom bokstavligen ingenstans

Använd areasatsen och cosinussatsen. Håll koll på tecknen.
Dr. G skrev:Använd areasatsen och cosinussatsen. Håll koll på tecknen.
Det leder ingenstans, jag mena att skriva -2abcosx men alltså jag kommer inget vart ändå


Vad gjorde jag fel
Okej jag hitta lite fel men fortfarande är det inte rätt svar

ger (trubbig vinkel)
så
hur fick du minus tecknet ?
Borde det inte vara +- ?
C är en trubbig vinkel i en triangel.
Vilket tecken har då cos(C)?
Dr. G skrev:C är en trubbig vinkel i en triangel.
Vilket tecken har då cos(C)?
Då vinkeln är över 90 är cosinus negativ, du har rätt. Tack :)