Jag tänkte att vi ska använda formeln T= 2pi*roten ur l/g. Men det jag ej förstår ur texten är att de säger att periodtiden fördubblas, menar de att även l fördubblas?
Nej, L står ju under rottecknet vilket innebär att L måsta öka mer än fördubbling om T fördubblas.
Använd formeln och teckna ekvationer för de två fallen. Om ekvationssystemet går att lösa får du fram tiden.
Programmeraren skrev:Nej, L står ju under rottecknet vilket innebär att L måsta öka mer än fördubbling om T fördubblas.
Använd formeln och teckna ekvationer för de två fallen. Om ekvationssystemet går att lösa får du fram tiden.
Om jag förstår dig rätt så har vi 2T= 2pi*roten ur l/g? Vilka ekvation system pratar du om?
Snöret förlängs från L till L+0,6, så din ekvation för 2T stämmer inte.
Du kan tänka så här:
- När snöret har längden L är periodtiden T.
- När snöret har längden L+0,6 är periodtiden 2T
Vi får alltså ekvationerna
Yngve skrev:Snöret förlängs från L till L+0,6, så din ekvation för 2T stämmer inte.
När snöret har längden L är periodtiden T.
När snöret har längden L+0,6 är periodtiden 2T
Vi får alltså ekvationerna
Jaha okej men då är jag med.
Och vad blir då tiden?
Programmeraren skrev:Och vad blir då tiden?
Ja du jag tänkte vilken av ekvationerna ska den nya värdet på L sättas in?
Som du satte upp ekvationerna så är L den ursprungliga längden. Och det är tiden för den längden som efterfrågas.
Programmeraren skrev:Som du satte upp ekvationerna så är L den ursprungliga längden. Och det är tiden för den längden som efterfrågas.
Okej jag får 2pi*roten ur 2 dividerad med roten ur 1000
Och vad får du det till?
Stämmer det med något av alternativen?
Yngve skrev:Och vad får du det till?
Stämmer det med något av alternativen?
Ja vet utan till att roten ur 2 är typ ungefär 1,14. Men i nämnaren har vi roten ur 1000. Vilket jag fastnat på eftersom den kan jag ej utan till
Du har kommit fram till att pendelns ursprungslängd var 0,02 meter. Har du kontrollerat det resultatet, dvs har du kontrollerat att längden 0,02+0,6 meter ger dubbelt så stor periodtid?
Yngve skrev:Du har kommit fram till att pendelns ursprungslängd är 0,02 meter. Har du kontrollerat det resultatet, dvs har du kontrollerat att längden 0,02+0,6 meter ger dubbelt så stor periodtid?
Nej för jag får ej ha räknare till uppgiften.
Det kan du kontrollera även utan räknare.
Om din uträkning stämmer så måste båda dessa ekvationer vara uppfyllda:
Multiplicera första ekvationen med 2:
Det ger dig
Fortsätt därifrån. Stämmer det?
Yngve skrev:Det kan du kontrollera även utan räknare.
Om din uträkning stämmer så måste båda dessa ekvationer vara uppfyllda:
Multiplicera första ekvationen med 2:
Det ger dig
Fortsätt därifrån. Stämmer det?
Yes jag fick 1 =0,26/0,02
Mahiya99 skrev:
Yes jag fick 1 =0,26/0,02
Hur räknar du då?
Jag får att 0,62 = 4•0,02
Yngve skrev:Mahiya99 skrev:Yes jag fick 1 =0,26/0,02
Hur räknar du då?
Jag får att 0,62 = 4•0,02
0,26/0,04 nu
Mahiya99 skrev:0,26/0,04 nu
Jag förstår inte vad du menar.
Visa steg för steg hur du räknar.
Yngve skrev:Mahiya99 skrev:0,26/0,04 nu
Jag förstår inte vad du menar.
Visa steg för steg hur du räknar.
Jag ska räkna ut tiden för ekvation 1.
Yngve skrev:
Det ger dig
Fortsätt därifrån. Stämmer det?
Nej du ska kontrollera att den här ekvationen stämmer. Om den stämmer så är ditt resultat (dvs att utsprungslängden är 0,02 meter) rätt, annars är det fel och då är det ingen idé att fortsätta räkna innan du hittat felet.
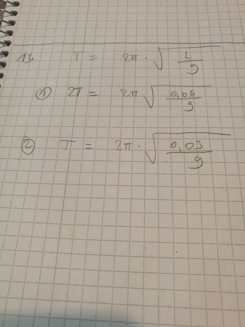
Jag upptäckte precis att jag gjorde fel. 60 cm är ej 0,06 utan 0,6 m.

Det hade du med från början men bytte från 0,6 till 0,06 på vägen, se bild.

Men lärdomen här är att det är viktigt att kontrollera sina resultat om möjligt och även att ta med ett tips på hur du kan göra det i det här (och liknande) fall.
Förstod du tillvägagångssättet?
Yngve skrev:Det hade du med från början men bytte från 0,6 till 0,06 på vägen, se bild.
Men lärdomen här är att det är viktigt att kontrollera sina resultat om möjligt och även att ta med ett tips på hur du kan göra det i det här (och liknande) fall.
Förstod du tillvägagångssättet?
Okej ja
Men vi är ej klara med uppgiften.
Du är nästan framme.
är ungefär lika med 3, är ungefär lika med 1,4.
Yngve skrev:Du är nästan framme.
är ungefär lika med 3, är ungefär lika med 1,4.
Ja
... så då kan du göra en grov uppskattning av den ursprungliga periodtiden och besvara frågan.
Yngve skrev:... så då kan du göra en grov uppskattning av den ursprungliga periodtiden och besvara frågan.
Yes det gjorde jag. Tack!



