Mafy uppgift 4
varför är b) rätt svar när jag kom fram till 6 st heltallösningar om vi räknar med x1=1 och x2=6 ?

Varför räknar du med x = 1 och x = 6?
De uppfyller inte olikheten.
Det står 15x i uppgiften men du skriver 14x.
Laguna skrev:Det står 15x i uppgiften men du skriver 14x.
Jag syftar på fråga 4 och ej 5.
Yngve skrev:Varför räknar du med x = 1 och x = 6?
De uppfyller inte olikheten.
Hur vet du att de ej uppfyller olikheten? Jag räknar med dem eftersom det står ju uttrycket <=0
destiny99 skrev:
Hur vet du att de ej uppfyller olikheten? Jag räknar med dem efter det står ju uttrycket <=0
Pröva!
Vad blir 2•12-14•1+13?
Vad blir 2•62-14•6+13?
=============
Eller lös ekvationen 2x2-14x+13 = 0 exakt, utan att avrunda lösningarna.
Yngve skrev:destiny99 skrev:Hur vet du att de ej uppfyller olikheten? Jag räknar med dem efter det står ju uttrycket <=0
Pröva!
Vad blir 2•12-14•1+13?
Vad blir 2•62-14•6+13?
=============
Eller lös ekvationen 2x2-14x+13 = 0 exakt, utan att avrunda lösningarna.
Jag får 1<=0 och 1<=0 vilket ej stämmer.
Exakt får jag ju x1=7/2+sqrt(23)/2 och x2=7/2-sqrt(23)/2.
destiny99 skrev:
Jag får 1<=0 och 1<=0 vilket ej stämmer.
Just så. Är du då med på att varken x = 1 eller x = 6 ingår i lösningsmängden?
Exakt får jag ju x1=7/2+sqrt(23)/2 och x2=7/2-sqrt(23)/2.
Ja. Är du med på att x1 < 6 och att x2 > 1, vilket betyder att varken x = 1 eller x = 6 ingår i lösningsmängden?
Yngve skrev:destiny99 skrev:Jag får 1<=0 och 1<=0 vilket ej stämmer.
Just så. Är du då med på att varken x = 1 eller x = 6 ingår i lösningsmängden?
Exakt får jag ju x1=7/2+sqrt(23)/2 och x2=7/2-sqrt(23)/2.
Ja. Är du med på att x1 < 6 och att x2 > 1, vilket betyder att varken x = 1 eller x = 6 ingår i lösningsmängden?
Asså när jag prövade att räkna ut utan miniräknare vad 1 och 6 ger för värden när man lägger in i ursprungliga funktionen så förstår jag att det ej uppfyller olikheten. Men Jag ser ej hur de exakta lösningarna x1 och x2 gör att ena <6 och andra >1? Hur vet du exakt att x1<6 men x2>1 utan räknare?
Jag använde räknare.
Men om jag skulle räkna för hand så skulle jag tänka liknande det du skrev i din lösning, att <
Alltså är
<
>
Yngve skrev:Jag använde räknare.
Men om jag skulle räkna för hand så skulle jag tänka liknande det du skrev i din lösning, att <
Alltså är
<
>
Okej, varför skriver du 7/2+sqrt(23)/2<7/2+5/2?
Och samma sak med x2?
Det gäller att < , vilket innebär att < .
Alltså måste följande gälla:
<
>
Yngve skrev:Det gäller att < , vilket innebär att < .
Alltså måste följande gälla:
<
>
Ja okej jag fick faktiskt likadant.
Bra. Är du med hela vägen då?
Alternativ metod:
Om du får använda digitala hjälpmedel så kan du ju rita grafen till andragradsuttrycket och se i vilket/vilka intervall grafen ligger på eller under x-axeln.
Kommentar:
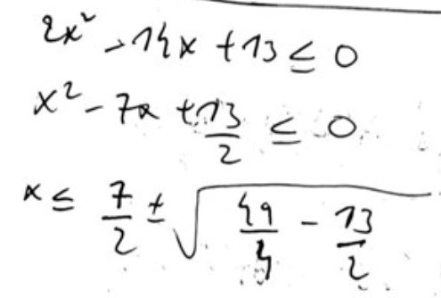
Pq-formeln fungerar inte rakt av på olikheter.
Den sista raden här stämmer inte:

Gör istället så att du löser motsvarande ekvation och sedan resonerar kring om olikhetens lösningsmängd ligger mellan eller utanför nollställena samt om nollställena ingår eller inte.
Avgörande då är parabelns utseende (glad/ledsen mun) och olikhetstecknets utseende (<, , >, ).
Med en skiss av grafen är det lättare att göra ovanstående analys.