Mafy 2016 uppgift 6
Hej!
I uppgift 6 undrar jag om man kan spontant svara alternativ C eftersom det är ändå synligt ljus det verkar röra sig om utan att räkna?

Det är bara alternativ A (röntgenstrålning) som du kan stryka på grund av att det är givet att det handlar om väte.
Men kan man snabbt välja rätt för att det är givet att det är en övergång från en högre elektronnivå till grundtillståndet. Det ger inte infrarött.
Alternativet "synligt ljus" är ju inte ens med.
Pieter Kuiper skrev:Det är bara alternativ A (röntgenstrålning) som du kan stryka på grund av att det är givet att det handlar om väte.
Men kan man snabbt välja rätt för att det är givet att det är en övergång från en högre elektronnivå till grundtillståndet. Det ger inte infrarött.
Alternativet "synligt ljus" är ju inte ens med.
Isåfall är det alternativ B eftersom det typ av ljus är ej synligt från högre elekronivå till grundtillstånd, som det hade varit om det gick från grundtillstånd till högre elekronivå.
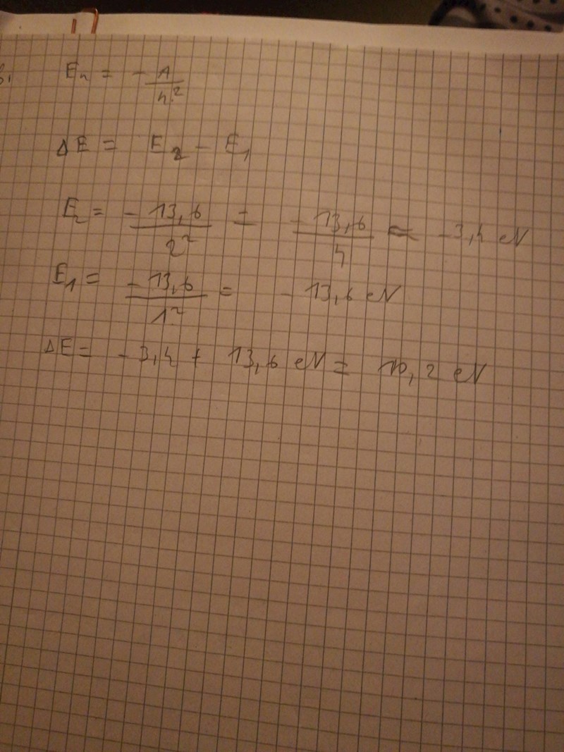
En foton utsänds när väteatomen går från det andra exiterade tillståndet () till grundtillståndet (). Fotonen får därmed energin .
Grundnivån har energin
Det andra exciterade tillståndet ges av
Fotonen som sänds ut har alltså energin
Det motsvarar ungefär (Ulatraviolett)
Jag har lite svårt att förstå hur man ska kunna klura ut det utan att kunna spektrallinjerna nästan utantill, känna till något om vilka våglängder som är möjliga (13.6eV~90nm) eller faktiskt genomföra en överslagsberäkning med de siffror som uppgiften anger.
D4NIEL skrev:En foton utsänds när väteatomen går från det andra exiterade tillståndet () till grundtillståndet (). Fotonen får därmed energin .
Grundnivån har energin
Det andra exciterade tillståndet ges av
Fotonen som sänds ut har alltså energin
Det motsvarar ungefär (Ulatraviolett)
Jag har lite svårt att förstå hur man ska kunna klura ut det utan att kunna spektrallinjerna nästan utantill, känna till något om vilka våglängder som är möjliga (13.6eV~90nm) eller faktiskt genomföra en överslagsberäkning med de siffror som uppgiften anger.
Så du menar att man ska kunna olika våglängder utan till? Hur kommer man fram till våglängder i denna uppgift? Sen förstår jag ej var siffrorna kommer ifrån i dina uträkningar utom 13,6 ev. Hänger tyvärr ej med.
D4NIEL skrev:Jag har lite svårt att förstå hur man ska kunna klura ut det utan att kunna spektrallinjerna nästan utantill,
Övergånger till grundtillståndet i väte (Lyman-serien) ligger alla högre än 10 eV. Det kan man direkt kan se från vad som är givet i uppgiften.
Sedan förväntas den som vill komma in på en civilingenjörsutbildning nog veta att synligt ljus är typ 2 till 4 eV. Åtminstone att 10 eV är uppenbart UV (och att 1 eV skulle vara infrarött). Mycket i MaFy handlar om storleksordningar.
Pieter Kuiper skrev:D4NIEL skrev:Jag har lite svårt att förstå hur man ska kunna klura ut det utan att kunna spektrallinjerna nästan utantill,
Övergånger till grundtillståndet i väte (Lyman-serien) ligger alla högre än 10 eV. Det kan man direkt kan se från vad som är givet i uppgiften.
Sedan förväntas den som vill komma in på en civilingenjörsutbildning nog veta att synligt ljus är typ 2 till 4 eV. Åtminstone att 10 eV är uppenbart UV (och att 1 eV skulle vara infrarött). Mycket i MaFy handlar om storleksordningar.
Men i uppgiften har de gett oss 13,6 ev vilket betyder att man ska komma ihåg att den faller tillbaka till grunstillstånd har vi UV utan att räkna ut?
destiny99 skrev:Pieter Kuiper skrev:
Övergånger till grundtillståndet i väte (Lyman-serien) ligger alla högre än 10 eV. Det kan man direkt kan se från vad som är givet i uppgiften.
Sedan förväntas den som vill komma in på en civilingenjörsutbildning nog veta att synligt ljus är typ 2 till 4 eV. Åtminstone att 10 eV är uppenbart UV (och att 1 eV skulle vara infrarött). Mycket i MaFy handlar om storleksordningar.Men i uppgiften har de gett oss 13,6 ev vilket betyder att man ska komma ihåg att den faller tillbaka till grunstillstånd har vi UV utan att räkna ut?
Alla övergångar till grundtillståndet har större fotonenergi än eV. Det framgår från vad som är givet.
Pieter Kuiper skrev:destiny99 skrev:Pieter Kuiper skrev:Övergånger till grundtillståndet i väte (Lyman-serien) ligger alla högre än 10 eV. Det kan man direkt kan se från vad som är givet i uppgiften.
Sedan förväntas den som vill komma in på en civilingenjörsutbildning nog veta att synligt ljus är typ 2 till 4 eV. Åtminstone att 10 eV är uppenbart UV (och att 1 eV skulle vara infrarött). Mycket i MaFy handlar om storleksordningar.Men i uppgiften har de gett oss 13,6 ev vilket betyder att man ska komma ihåg att den faller tillbaka till grunstillstånd har vi UV utan att räkna ut?
Alla övergångar till grundtillståndet har större fotonenergi än eV. Det framgår från vad som är givet.
Var kommer 3/4 ifrån och varför multiplicerar du 3/4 med 13,6 ev?
destiny99 skrev:Var kommer 3/4 ifrån och varför multiplicerar du 3/4 med 13,6 ev?
Det frågar du reflexmässigt, inom en minut.
Det skulle vara bra för dig om du tänkte lite längre. Om du kunde kombinera det med vad D4niel hade skrivit.
Pieter Kuiper skrev:destiny99 skrev:Var kommer 3/4 ifrån och varför multiplicerar du 3/4 med 13,6 ev?
Det frågar du reflexmässigt, inom en minut.
Det skulle vara bra för dig om du tänkte lite längre. Om du kunde kombinera det med vad D4niel hade skrivit.
Tyvärr förstår jag ej Daniels uträkning till att börja med. Därför kan jag ej gå vidare justnu. Det är så mycket som är okänd i denna uppgift, vi vet tex ej vad A är för något värde. Om ni har ett annat sätt som går att förklara denna uppgift steg för steg vore det väldigt bra. Tack!
destiny99 skrev:Det är så mycket som är okänd i denna uppgift, vi vet tex ej vad A är för något värde.
Konstanten A är 13,6 eV.
Pieter Kuiper skrev:destiny99 skrev:Det är så mycket som är okänd i denna uppgift, vi vet tex ej vad A är för något värde.Konstanten A är 13,6 eV.
Nu fick jag att energiskillnaden är 10 eV, hur hade man kunnat dra slutsatser av alternativen när man sen räknar ut våglängden för 10 eV ?

destiny99 skrev:
hur hade man kunnat dra slutsatser av alternativen när man sen räknar ut våglängden för 10 eV ?
Man ska inte räkna ut någon våglängd. Man förväntas veta att så stora fotonenergier ligger i det ultravioletta.
destiny99 skrev:Nu fick jag att energiskillnaden är 10 eV, hur hade man kunnat dra slutsatser av alternativen när man sen räknar ut våglängden för 10 eV ?
Grundtillståndet är
Det första exciterade tillståndet är
Och det andra exciterade tillståndet är
Det du egentligen söker är alltså inte
När du har en energi kan du alltid hitta motsvarande våglängd eller frekvens genom
Enligt min erfarenhet brukar studenter i första årskursen vara mer förtrogna med våglängder än fotonenergier.
De vet att synligt ljus motsvarar ungefär 360–750 nm (några elektronvolt) samt att det ultravioletta området ligger till vänster (kortare våglängder) samt att det infraröda området ligger till höger (längre våglängder).
Är du mer förtrogen med områdenas energinivåer behöver du såklart inte konvertera det till en våglängd.
D4NIEL skrev:destiny99 skrev:Nu fick jag att energiskillnaden är 10 eV, hur hade man kunnat dra slutsatser av alternativen när man sen räknar ut våglängden för 10 eV ?
Grundtillståndet är
Det första exciterade tillståndet är
Och det andra exciterade tillståndet är
Det du egentligen söker är alltså inte
När du har en energi kan du alltid hitta motsvarande våglängd eller frekvens genom
Enligt min erfarenhet brukar studenter i första årskursen vara mer förtrogna med våglängder än fotonenergier.
De vet att synligt ljus motsvarar ungefär 360–750 nm (några elektronvolt) samt att det ultravioletta området ligger till vänster (kortare våglängder) samt att det infraröda området ligger till höger (längre våglängder).
Är du mer förtrogen med områdenas energinivåer behöver du såklart inte konvertera det till en våglängd.
Okej detta ska jag komma ihåg inför fortsättningen. Juste varför just E2 och ej E1? När jag tänker första tillstånd då tänker jag på E1 och ej E2.
Vet ej vad områdena energinivåer menas med här, antar att du syftar på det där tabellen från formelsamling med synligt ljus osv men det här med att använda E= hc/lambda är jag bekant med.
Grundtillståndet kan ju inte vara eftersom det skulle ge oändlig energi i formeln
Dessutom står det i uppgiften att
Alltså är grundtillståndet eller den lägsta möjliga energinivån .
Det betyder att det första exciterade tillståndet är .
Frågan gällde en övergång mellan det andra exciterade tillståndet, dvs och grundnivån.
Och ja, jag syftade på de olika områdena "synligt ljus", "infrarött ljus" samt "ultraviolett ljus". De står säkert omnämnda i din formelsamling. Man måste veta ungefär vilka våglängder (eller energinivåer) som gäller.
Att synligt ljus har energierna 2 till 4 eV har jag nog aldrig vetat, vare sig före civilingenjören eller efter. Våglängderna däremot.
Laguna skrev:Att synligt ljus har energierna 2 till 4 eV har jag nog aldrig vetat, vare sig före civilingenjören eller efter.
Aldrig gjort en laboration om fotoelektrisk effekt? Eller räknat på uppgifter om det?
Visst, men man minns inte alla mellanresultat från laborationer.
Typiska värden för utträdesarbeten, ionisationspotentialer, bandgapsenergier, kemiska bindningsenergier, fermi- och plasmaenergier i metaller, osv är några eV. Detta har samband med optiska egenskaper, färger, pigment, fotosyntes, synen, solceller, lysdioder, osv. Det är nog tyvärr så att sådana samband ägnas för lite uppmärksamhet i skolan.
Skolan bör hjälpa i förståelsen av världen omkring sig. Istället ägnas för mycket möda åt att få rätt svar i uppgifter om relativitetsteori och högerhandsreglerna.
D4NIEL skrev:Grundtillståndet kan ju inte vara eftersom det skulle ge oändlig energi i formeln
Dessutom står det i uppgiften att
Alltså är grundtillståndet eller den lägsta möjliga energinivån .
Det betyder att det första exciterade tillståndet är .
Frågan gällde en övergång mellan det andra exciterade tillståndet, dvs och grundnivån.
Och ja, jag syftade på de olika områdena "synligt ljus", "infrarött ljus" samt "ultraviolett ljus". De står säkert omnämnda i din formelsamling. Man måste veta ungefär vilka våglängder (eller energinivåer) som gäller.
Tack då förstår jag!
D4NIEL skrev:destiny99 skrev:Nu fick jag att energiskillnaden är 10 eV, hur hade man kunnat dra slutsatser av alternativen när man sen räknar ut våglängden för 10 eV ?
Grundtillståndet är
Det första exciterade tillståndet är
Och det andra exciterade tillståndet är
Det du egentligen söker är alltså inte
När du har en energi kan du alltid hitta motsvarande våglängd eller frekvens genom
Enligt min erfarenhet brukar studenter i första årskursen vara mer förtrogna med våglängder än fotonenergier.
De vet att synligt ljus motsvarar ungefär 360–750 nm (några elektronvolt) samt att det ultravioletta området ligger till vänster (kortare våglängder) samt att det infraröda området ligger till höger (längre våglängder).
Är du mer förtrogen med områdenas energinivåer behöver du såklart inte konvertera det till en våglängd.
Så jag fattar hur man ska räkna ut våg längden men hur ska jag göra skillnad på röntgenstrålning och UV ljus när man inte har tillgång till en formel samling?
Har du något tips på att komma ihåg det? eller är det bara att memorisera det?
Jaghatarfysik skrev:Så jag fattar hur man ska räkna ut våg längden men hur ska jag göra skillnad på röntgenstrålning och UV ljus när man inte har tillgång till en formel samling?
Har du något tips på att komma ihåg det? eller är det bara att memorisera det?
Man förväntas veta att det är höga fotonenergier i röntgenområdet. Det är ju joniserande strålning.
Typiska spänningar för röntgenrör är tiotals kilovolt. Moselys lag ger energier för energier på typ där Alltså högre än typ tusen gånger Rydbergs konstant.
I väte har vi och alla energier är mindre än Rydbergs konstant.