2
svar
96
visningar
MaFys provet
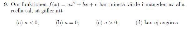
Hej. vad menar de med ( minsta värde i mängden av alla reella tal)

rätt svar : C
Att det minsta möjliga värdet är ett reellt tal.
så de menar att den kan inte gå mot - eller?