4
svar
125
visningar
Kiep767 behöver inte mer hjälp
MaFys provet algebra
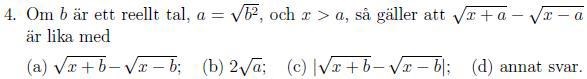
Hej skulle nån kunna förklara varför C är det rätta svaret?
är det bara för att x > a?

Tips:
Prova två enkla exempel.
1)
2)
har jag förstått rätt?
Kiep767 skrev :har jag förstått rätt?
Ja det stämmer.
Mer allmänt gäller att
tack.