2
svar
88
visningar
Tompalomp behöver inte mer hjälp
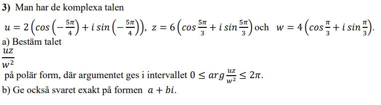
Man har komplexa talen

Har jag gjort rätt?
a)
ges i intervallet mellan 0 och 2pi
b) uppgiften
ge exakta svaret på formen a+bi
Är detta korrekt?
Jag hittar inga fel i det.
Bubo skrev:Jag hittar inga fel i det.
Yay! Tack!