Mängd medicin efter n tabletter
Hej,
Jag förstår inte vad dom frågar efter på 2271, vad ska jag göra. Ska det vara n dygn istället eller..?
Allt beror väl på hur många tabletter och hur många dygn det handlar om.. framgår ju inte.. eller

1 tablett= 1 dag iofs
Kolla en tablett i taget
För varje dygn som går, minskar mängden substans i blodet med 50%
20mg 10mg 5mg 2,5mg ........ sedan kommer nästa tablett
20mg 10mg 5mg 2,5mg ,,,,, och nästa
20mg 10mg 5mg 2,5mg
Hur mycket finns kvar i blodet efter 3 tabletter? etc
Något i den stilen?
Om vi tänker oss att all substans går direkt ut i blodet när tabletten har svalts.
Bara ett uppslag från en amatörbiolog :-)
Förstår. Sen varannat värde där ska det hoppa in en ny tablett också, svårt. Eller det blir varje värde
pröva ¨en modell i den stilen
har redigerat inlägget en smula
Ska kika :) det är säkert väldigt rimligt
Kom fram till något sånt här typ:
Nej det blir fel..

Visa spoiler

Nej, jag fattar inte. Kan inte lösa det. Kollar din spoiler där.
Bra spoiler, vi tar det bakifrån!
Precis när han ska ta tablett nr 3
Hur mycket finns då kvar i blodet av tablett nr 2 och tablett nr 1 ?
etc
Till det kommer då 20mg när han svalt tablett nr 3
Så blir det nog
Jag fattar ändå inte :p är inte det där bara för en tablett..
Fast om man går - en halv tablett varje dag.. men får i sig en tablett, så går man ju + en halv då egentligen så..
Eller nej det blir 1.5 tablett andra dagen
Se senaste redigering
När han just har svalt tablett nr 3
har han 20mg + det som finns kvar av de föregående tabletterna,
dvs 50% av tablett nr 2 och 25% av tablett nr 1
Jo.
Svårt att uttrycka det matematiskt bara. Kan inte riktigt se sånt där.
Tack för hjälpen iaf 🙂 nu blir det träna lite i källaren här
Det är lugnt!
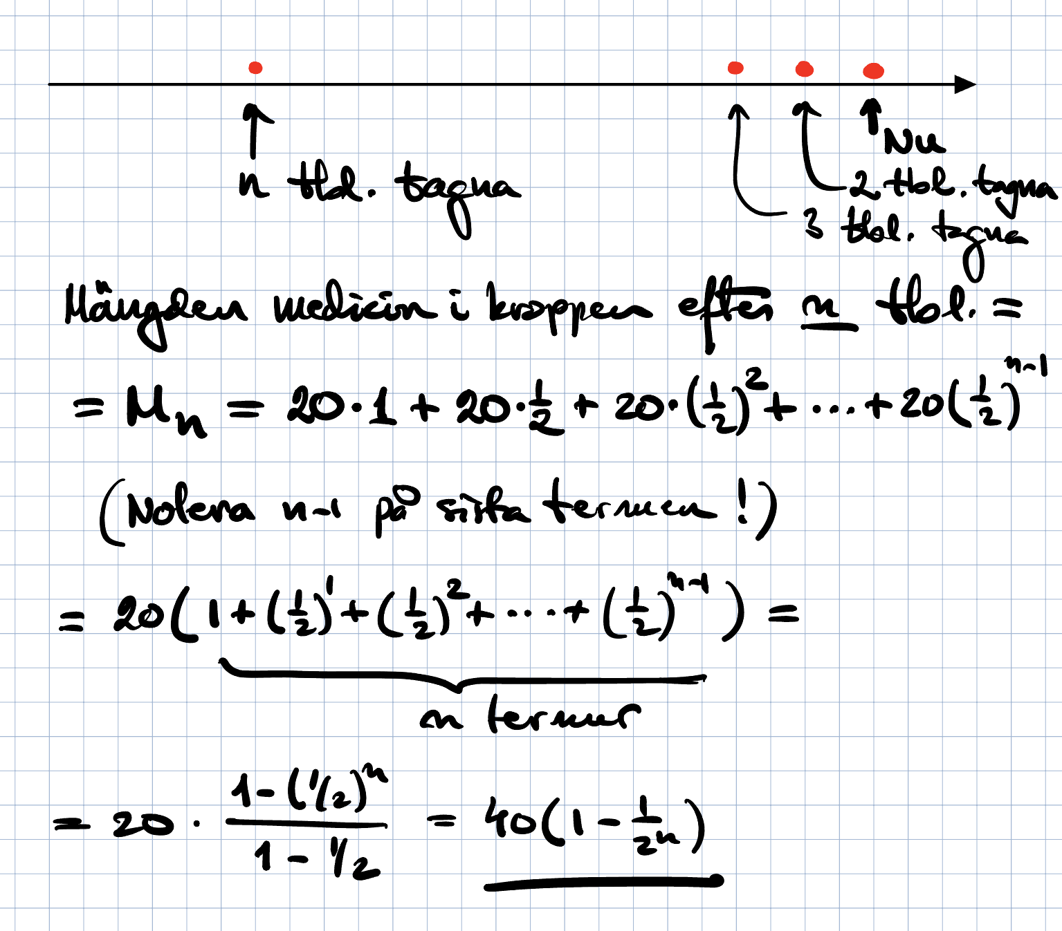
Nu vet du halten i blodet när han just har svalt tablett nr 3
Vad är då halten när han just har svalt tablett nr 4 ?
Ser du mönstret?
Ta hjälp av Trinity2:s spoiler för halten i blodet när han just har svalt tablett nr n .
---------------------------------------------
Själv är jag mest nyfiken på hur man tänkt sig lösa uppgift 2270,
den om annuitetslånet, på liknande sätt.
Det skulle kunna utvidgas till en allmän formel för annuitetsberäkning.
[Har man redan den formeln är förstås uppgiften "trivial" ]
20 + 50% av 3 + 25% av 2 + 12.5% av1 så byggs det på i oändlighet med ett hopp åt höger och varje del minskar med 50%.
Den uppgiften tyckte jag var ganska lätt ändå istället. Men här gick det inte, märkligt, hade väl sett liknande förut antar jag 🤔
Ekvationen blir formeln för geometrisk summa med x(a) som sökt konstant= totalbeloppet*ökning i procent^(antal år)
Arktos skrev:Det är lugnt!
Nu vet du halten i blodet när han just har svalt tablett nr 3
Vad är då halten när han just har svalt tablett nr 4 ?
Ser du mönstret?Ta hjälp av Trinity2:s spoiler för halten i blodet när han just har svalt tablett nr n .
---------------------------------------------
Själv är jag mest nyfiken på hur man tänkt sig lösa uppgift 2270,
den om annuitetslånet, på liknande sätt.
Det skulle kunna utvidgas till en allmän formel för annuitetsberäkning.
[Har man redan den formeln är förstås uppgiften "trivial" ]
