Mängder
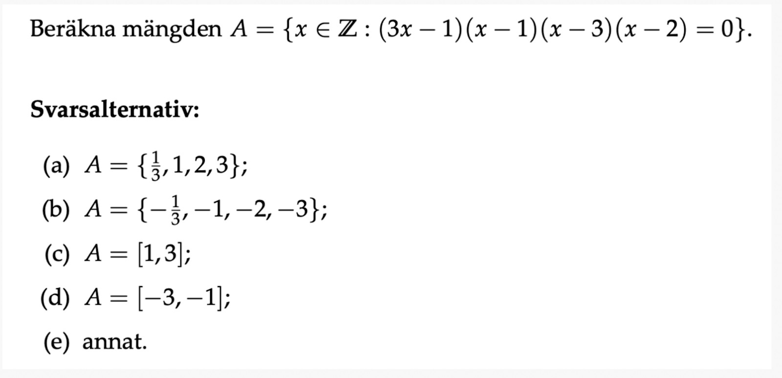
Hej! Enligt facit på denna frågan är svaret A={1,2,3}, när jag räknar ut det får jag svaret till alternativ a).
Vet inte om jag behöver lägga ut bild på uträkningar men gissar att det är ganska uppenbart hur jag har räknat.
Någon som vet hur man gör för få rätt svar/hur man bör tänka? för 3x-1=0 ger väl x=1/3...

louise.marsch skrev:Hej! Enligt facit på denna frågan är svaret A={1,2,3}, när jag räknar ut det får jag svaret till alternativ a).
Vet inte om jag behöver lägga ut bild på uträkningar men gissar att det är ganska uppenbart hur jag har räknat.
Någon som vet hur man gör för få rätt svar/hur man bör tänka? för 3x-1=0 ger väl x=1/3...
Ditt inlägg set ut så här hos mig, dvs bilden syns inte.
syns det nu?

tänkte lite för snabbt och insåg precis vad jag gjort fel :') x tillhör ju Z ..